Difusión tecnológica y convergencia económica: un
análisis de las regiones y los sectores productivos españoles
Mª Jesús Delgado
Rodríguez*
Inmaculada
Álvarez Ayuso**
Abstract
This work
analyses the regional and sectorial convergence in the Spanish economy in order
to understand the role of the main tools used to decrease economic disparities.
The novel techniques used here have provided us with important information
about this process, as well as about the evolution of the productive efficiency
of the Spanish economic sectors. We have used parametric stochastic frontier
approach to estimate the technical efficiency of the Spanish productive sectors
and to approximate the technological diffusion they have experienced. The
conclusions stand out due to their implications in the choice of destinations
for public expenditures.
Keywords: technical efficiency, public capital, regional
convergence.
Resumen
Este trabajo
analiza la convergencia regional y sectorial en la economía española con objeto
de profundizar en el papel de los principales instrumentos utilizados para
disminuir las disparidades económicas. Las técnicas empleadas son novedosas y
permitieron obtener información relevante acerca de este proceso y la evolución
de la eficiencia productiva de los sectores económicos españoles. Para ello, se
utilizaron los desarrollos de la aproximación paramétrica de la frontera
estocástica, lo que hizo posible estimar la eficiencia técnica de los sectores
productivos españoles y la aproximación a la difusión tecnológica que
experimentaron. Las conclusiones sobresalen por sus implicaciones en la
selección del destino del gasto público.
Palabras clave:
eficiencia técnica, capital público, convergencia regional.
*
Facultad de Ciencias Jurídicas y Sociales, Universidad Rey Juan Carlos.
Correo-e: mdelgado@fcjs.urjc.es.
** Facultad de Ciencias
Económicas y Empresariales, Universidad Autónoma de Madrid. Correo-e:
eccuay6@sis.ucm.es.
Introducción
La reducción de
las desigualdades entre regiones y países constituye un objetivo que gana
protagonismo progresivamente en los países miembros de la Unión Europea. Las
dificultades de que estas economías converjan promueven investigaciones para
establecer los instrumentos más eficaces que logren mayor paridad.[1]
Durante los años ochenta y noventa las diferencias regionales en la Unión
Europea no mostraron tendencias a la reducción, al contrario, aumentaron,
mientras que la dispersión entre países disminuyó (Magrini,
1999; López-Bazo et al., 1999 y Giannetti, 2002).
Entre los mecanismos
de convergencia considerados habitualmente se encuentra la difusión de
tecnología que recoge la transmisión de ideas y técnicas de producción entre
regiones y países. Una vía para generar convergencia en la renta es permitir
que el nivel de tecnología de las economías de menores rentas alcance a las de
rentas mayores; si existe un proceso de difusión tecnológica, las economías
atrasadas disfrutarán la ventaja de adoptar a bajo coste las tecnologías
empleadas en las más avanzadas.[2]
En esta
investigación tratará de contrastarse la existencia de un efecto catch-up tecnológico entre las regiones
españolas a partir de la aproximación que ofrece el concepto de eficiencia
técnica; de modo que las mejoras en la eficiencia de un país estarán ligadas a
su aproximación a la frontera eficiente y, por lo tanto, a la asimilación de
tecnología.[3] La hipótesis del catch-up en términos de la convergencia en
eficiencia permitirá comprobar si el proceso de integración favoreció el acceso
de las regiones más atrasadas a nuevas tecnologías, en un mercado donde los
intercambios entre ellas son muy intensos.
En este trabajo
se emplearán técnicas frontera, que destacarán la medición de eficiencia
técnica de cada uno de los sectores regionales: agricultura, industria,
energía, construcción y servicios destinados a la venta en el periodo
1980-1995. Tratará de establecerse si los equipamientos de infraestructuras
influyeron en el proceso de convergencia en eficiencia en esos años. Para
llevar a cabo estos objetivos, se aplicarán los desarrollos para la estimación
de fronteras de producción estocástica recogidos en Battese
y Coelli (1995).
La literatura
económica brinda numerosos trabajos que calculan funciones frontera en el
análisis de la eficiencia (Färe et
al.,1994; Fecher y Perelman,1992). En ellos se realizan comparaciones
entre países y regiones, y entre agregados nacionales y sectoriales. La
estimación de la eficiencia técnica en la economía española fue objeto de
atención en investigaciones recientes: Gumbau (1998),
Maudos, Pastor y Serrano (2000), entre otros, en las
que se comprueban las desigualdades regionales y sectoriales existentes.
La actividad
productiva de las regiones españolas se desarrolla en un marco de integración
económica y monetaria que obliga a las empresas a realizar esfuerzos para
reducir los niveles de ineficiencia en el uso de los factores productivos y
aumentar su competitividad. En tal contexto, los resultados de esta
investigación cobran interés por sus implicaciones al seleccionar el destino
del gasto público, ya que el incremento de las infraestructuras es una posible
vía para la obtención de mejores resultados.
La estructura
del trabajo es la siguiente: el apartado uno describe las políticas principales
y líneas de actuación de la economía española que atendió a las orientaciones
de la Unión Europea. En el apartado dos se recogen las novedades metodológicas
aportadas por el modelo de Battese y Coelli (1995) en la medición de la eficiencia, lo que
permitió el establecimiento de las diferencias sectoriales y regionales
existentes. A continuación, el apartado tres analiza la convergencia en
eficiencia que hay entre las regiones españolas y trata de establecer el papel
desempeñado por las dotaciones de infraestructura regional. Finalmente, se
reseñan las conclusiones principales de este trabajo.
1. Las regiones
españolas en la Unión Europea. Políticas principales y líneas de actuación para
la convergencia
La solidaridad
entre las regiones de la Unión Europea, el progreso económico y social y el
refuerzo de la cohesión forman parte de los objetivos globales de la comunidad
para aminorar las disparidades en los niveles de desarrollo de las diversas
regiones, como se establece en el tratado constitutivo de las comunidades
europeas. Los instrumentos de solidaridad, los fondos estructurales y el fondo
de cohesión absorben cerca de un tercio del presupuesto de la Unión Europea
(cerca de 36,000 millones de euros en 2004). Los recursos se distribuyen
mediante programas de desarrollo plurianuales gestionados de manera conjunta
por los Estados miembros, las regiones y la comisión europea.
Las prioridades
de la Unión Europea para alcanzar la convergencia regional son las siguientes:
·
Apoyo
para la generación de empleos y el crecimiento de los Estados miembros y las
regiones menos desarrolladas. Este objetivo implicó que las regiones con
producto nacional per cápita inferior a 75% del promedio europeo recibieron
ayudas europeas mediante los fondos estructurales.
·
La
Unión Europea trata de modernizar y diversificar la estructura económica
regional con la ampliación y mejora de las infraestructuras básicas, también
busca la protección del ambiente, el refuerzo de la capacidad administrativa,
la mejora de las instituciones del mercado laboral, los sistemas de educación y
formación, porque con esto aumenta el capital humano. Además, los Estados
miembros cuyo producto nacional esté por debajo del 90% del promedio de la
comunidad serán elegibles para el Fondo de Cohesión, con ello continuará el
financiamiento de los programas de transporte y ambiente.
·
Fomento
a la competitividad regional y el cambio estructural: el objetivo es promover,
mediante programas regionales, el cambio económico en las zonas industriales,
urbanas y rurales con el refuerzo de su competitividad y capacidad de atracción
teniendo en cuenta las disparidades económicas, sociales y territoriales
existentes. Además, los programas nacionales ayudarían a la población a
anticipar y adaptarse al cambio económico, y así ajustarse a las prioridades de
políticas de la Estrategia Europea de Empleo.
·
Fomento
del desarrollo armonioso y equilibrado del territorio de la unión. Todas las
regiones limítrofes con las fronteras exteriores e inferiores, tanto terrestres
como marítimas, estarían incluidas en la cooperación transfronteriza. Se trata,
principalmente, de plantear soluciones conjuntas a problemas comunes entre
autoridades vecinas, por ejemplo: el desarrollo urbano, rural y costero, y el
establecimiento de redes de pequeñas y medianas empresas.
Este trabajo se
centra en las regiones españolas y el desarrollo de la convergencia en el
territorio nacional. El Estado español se compone de 17 Comunidades Autónomas o
regiones: Asturias, Galicia, Cantabria, Aragón, Cataluña, Canarias,
Extremadura, La Rioja, Castilla La Mancha, Baleares, Castilla León, Andalucía,
Madrid, Navarra, País Vasco, Murcia y Valencia (véase mapa i).
Mapa i
Las regiones
españolas

2. Enfoque
metodológico
Este trabajo
utiliza una metodología novedosa: las técnicas frontera que permiten medir la
ineficiencia de una economía y que permitirán ofrecer mayor información acerca
del proceso productivo de la economía española. Este es el punto de partida
para el análisis de convergencia, que centraremos en el caso español, con el
fin de aplicar esta metodología en un estudio e ilustrar esta técnica. El
estudio de la ineficiencia de una economía puede realizarse a partir de dos
enfoques, que se diferencian en los supuestos asignados a los datos. El primero
es el no paramétrico, que requiere imponer una determinada relación funcional
entre las variables; el que comúnmente se usa es el análisis de envolvente de
datos (data envelopment analysis, dea).
Un resumen de estas técnicas está en Maudos, Pastor y
Serrano (2000).
El segundo
enfoque es el paramétrico de la frontera estocástica, que permite estimar las
elasticidades de los factores de la función de producción por ser necesario
aplicar una forma funcional específica. Este enfoque admite diferentes
especificaciones de acuerdo con la tecnología adoptada en la estimación de la
función de producción. Los desarrollos de estos modelos están en Battese y Coelli (1995).
A continuación
se presenta el modelo empleado para medir la eficiencia de los sectores
regionales de la economía española y los resultados obtenidos para el periodo
1980-1995.
2.1. Método de
estimación
En este trabajo
se utiliza la aproximación paramétrica de la función estocástica; esto implica
estimar una función de producción frontera en la que la desviación entre el
nivel de output
observado y el máximo posible abarca dos componentes: un término de error, vi, que capta el efecto de variables que
no están bajo el control de la unidad productiva analizada, y un término de
ineficiencia, ui. El modelo de frontera de producción
estocástica, que abajo se expone, fue propuesto de forma simultánea por Aigner, Lovell y Schimdt (1977) y Meeusen y Van
den Broeck (1977).
Yi = f(Xi,b) +ei,
i=1,
…, N
i = vi + ui ui
£ 0
A partir de este
esquema se plantean diferentes modelos, entre los que destaca el desarrollado
por Battese y Coelli
(1995), utilizado en este trabajo, que contribuye de manera importante a la
flexibilización del supuesto de invarianza de la
eficiencia en el tiempo, porque brinda la posibilidad de introducirlo como un regresor en la ecuación correspondiente a la ineficiencia.
El modelo es aplicable a estudios en los que se dispone de un panel de datos y
las eficiencias técnicas de las regiones varían en el tiempo, como es el caso
que se expone en este artículo.
Como plantean Battese y Coelli (1995), se
considerará la función de producción estocástica en un panel de datos:
Yit = exp(Xitb
+ vit – uit) (1)
t = 1,…, T
i = 1,…, N
Donde Yit es la producción en el periodo
t-ésimo
y para la i-ésima región, Xit un vector (1 × k) de variables
explicativas y b un vector (k × 1) de parámetros
desconocidos; vit representa los errores aleatorios
independientes e idénticamente distribuidos como una normal con media cero y
varianza s2v, e independientemente distribuidos de
uit. Por su parte, uit está compuesta por variables
aleatorias nonegativas, asociadas a la ineficiencia
técnica en producción y obtenidas a partir de la distribución normal truncada[4] en
cero con media Zitd y varianza s2. Zit
es un vector (1 × m)
de variables explicativas asociadas a la ineficiencia técnica en el tiempo y d es vector (m × 1) de coeficientes
desconocidos.
La ecuación (1)
especifica la frontera estocástica en términos de los valores de producción
originales. Mientras que la ineficiencia técnica, uit, es función de un conjunto de variables
explicativas, Zit, y un vector de coeficientes
desconocidos, d.
De este modo la
ineficiencia técnica se expresa como:
Uit
= Zitd + Wit (2)
Donde Wit sigue una distribución normal truncada en –Zitd
con media cero y varianza s2.
Las ecuaciones
(1) y (2) se estiman con el método de máxima verosimilitud[5] y
se aplican ecuaciones simultáneas, así se obtiene la eficiencia técnica de la
siguiente forma:
Teit = exp(–uit)
= exp (– Zitd – Wit) (3)
En los trabajos
realizados pueden encontrarse otras opciones para flexibilizar el supuesto
restrictivo de la invarianza de la eficiencia en el
tiempo. Este era un supuesto frecuente en los primeros análisis, por lo que no
era necesario asumir ningún supuesto distribucional para los términos de
ineficiencia y de error. En este caso, se parte de la frontera estocástica:
![]()
t =
1,…, T
i =
1,…, N
Se supone que la
ineficiencia es constante en el tiempo; entonces ui podría definirse como , lo que
permitiría llevar a cabo las estimaciones mediante los modelos estándar de
datos de panel (estimación por efectos fijos).
![]()
t
= 1,…, T
i
= 1,…, N
Frente a esta
situación, los trabajos más recientes flexibilizan el supuesto de invarianza en el término de ineficiencia. Para ello se
plantean dos alternativas. Por un lado, se suponen sendas distribuciones para
los términos error e ineficiencia, lo que llevaría al cálculo de la última
utilizando la distribución condicionada al término de error compuesto: E(ui/ei), como plantean Gumbau
(1998) y Gumbau y Maudos
(1996).
Por otra parte,
y como resulta más razonable cuando se dispone de un panel de datos, también se
propone la posibilidad de continuar con la introducción del término de
ineficiencia como si se tratase de los efectos fijos o aleatorios
correspondientes al modelo de datos del panel, aunque suponiendo que éste es
función del tiempo. Sin embargo, la limitación que presenta esta alternativa se
encuentra en la imposición de una estructura demasiado rígida en el tipo de
variación del término de ineficiencia. Esta es la opción adoptada por Pedraja et al. (1999), que en su trabajo permiten
que la ineficiencia varíe en el tiempo y asumen que los efectos fijos sean
función lineal de éste. Dicha opción es similar a la planteada en Battese y Coelli (1993), quienes
proponen una forma exponencial del tiempo para el componente de ineficiencia: Uit
= (Uiexp(–h(t–T)), lo cual implica que la ineficiencia
crece, decrece o se mantiene constante, dependiendo del valor que adopte el
parámetro h.
Por su parte, en
el modelo de Battese y Coelli
(1995), pese a presentar la ineficiencia en forma de efectos fijos, se
flexibiliza la estructura del tipo de variación que sigue la ineficiencia,
frente a otros trabajos e incluso en sus versiones anteriores (Battese y Coelli, 1993). Así
pues, esta, en sí misma, constituye una función –ecuación (2)–, cuyos regresores se determinan en la investigación. De esta
forma, las variables explicativas de dicha ecuación pueden ser las que
incorporan la función de producción estocástica –ecuación (1)–, efectos fijos
(individuales o temporales), así como cualquier variable que determine cambios
en la ineficiencia.
Las medidas de
eficiencia técnica relativa a la frontera de producción estocástica –ecuación
(1)– se definen como:
ϕ it= E(Y*it\Uit,Xit)/, E(Y*it\Uit=0,Xit) = exp(–uit) (4)
Donde Y*it
es la producción en
t
de la i-ésima región, que será igual a exp(Yit) puesto que la variable dependiente
será tomada en logaritmos. Por su parte, la eficiencia de la región i-ésima
en t,
ϕit, alcanzará valores entre cero y uno,
este último es el caso más favorable.
2.2. Análisis de la
eficiencia sectorial en las regiones españolas
El análisis de la
eficiencia mediante el enfoque de frontera estocástica parte del cálculo de la
frontera de producción estocástica. Para ello, y como en la mayor parte de los
estudios empíricos realizados, se supone que la tecnología subyacente a la
función de producción es del tipo Cobb-Douglas, en la
que se incluyen los inputs privados (stock de capital privado y empleo). De esta
manera, la forma funcional que representará la producción sectorial y nacional
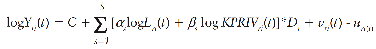
para cada una de las regiones españolas será la siguiente:
![]()
r = 1,…, S; i =
1,…, I y t = 1,…, T (5)
Donde los
subíndices hacen referencia al sector productivo (r y s), a la Comunidad Autónoma (i) y la fracción del tiempo (t), y Yri(t) es el valor de la producción privada
(vabpm), en pesetas constantes de
1990 (excluida la producción de los servicios no destinados a la venta).
Lri(t) representa el empleo del sector
privado (excluido el empleo del sector servicios no destinado a la venta).
KPRIVri(t) es el valor del stock de capital privado productivo (sin el
stock
de capital residencial), a precios constantes de 1990.
Dr significa una variable dummy
sectorial que toma el valor 1 cuando r = s, y 0 en caso contrario.
Siguiendo la
especificación expuesta en la ecuación (2), el término de ineficiencia técnica
se explica por un término independiente y dos variables explicativas, Z1 y Z2, que representan una tendencia
temporal y una variable regional respectivamente.
En cuanto a la
información estadística utilizada, las series de producción y empleo proceden
de Cordero y Gayoso (1996), elaboradas con base en
las cifras de la Contabilidad Regional de España y publicadas por el Instituto
Nacional de Estadísticas (ine).
Las series de capital privado proceden de la publicación de la Fundación bbva, y contienen una evaluación a
escala regional del stock de capital privado para los sectores
de la economía española.
En este
documento, la eficiencia productiva se calculó como el ratio entre la producción media y la máxima
posible mediante la utilización de los inputs eficientemente.[6] El
cuadro 1 presenta los resultados obtenidos con el uso de la expresión o
ecuación (4), que indica: si el valor es igual a 1, entonces la región es
eficiente, y lo es menos cuanto menor sea el valor obtenido. De manera
paralela: (1-ϕit)*100 mostraría el porcentaje en que podría
incrementarse el valor añadido bruto (vab)
de las regiones sin necesidad de aumentar los inputs utilizados. Se escogieron los años
1980, 1985, 1990 y 1995 para recoger la evolución de la eficiencia en ese periodo.
Las técnicas
empleadas permiten extraer información no habitual en los estudios económicos;
consisten en la medición del grado de ineficiencia de esos sectores
productivos. Al comparar los resultados se comprueba la existencia de
desigualdades regionales y sectoriales, al igual que en otros trabajos
realizados para la economía española (Gumbau y Maudos, 1996; Maudos, Pastor y
Serrano, 2000). En cuanto a su evolución, destacan las mejoras en la eficiencia
en las regiones en los años estudiados. Para el total de la economía, las
regiones más eficientes fueron Madrid, Cataluña, La Rioja y Baleares; entre las
menos eficientes estuvieron Asturias, Extremadura, Castilla la Mancha, Castilla
León y Galicia.
En la escala
sectorial se observa que industria, construcción y servicios destinados a la
venta obtienen mayores niveles de eficiencia que los sectores de agricultura y
energía. En el primero todas las regiones se sitúan muy lejos de la frontera,
aunque su evolución es favorable, con excepción de Aragón, Castilla La Mancha y
Valencia. Las regiones de Andalucía, Baleares y País Vasco están entre las más
eficientes en los años estudiados, mientras que Extremadura y Madrid podrían
aumentar su producción si el uso de los factores productivos es más eficiente.
Para el sector
energético los niveles de eficiencia fueron menores, aunque los avances en el
periodo son considerables. Entre las regiones más eficientes de la fase se
encuentran País Vasco, Cataluña, Andalucía y Murcia; entre las menos, Aragón y
Cantabria.
Cuadro 1
Eficiencias
sectoriales por ccaa, de acuerdo
con el modelo de Battese y Coelli
|
Total |
Agricultura |
Energía |
Industria |
Construcción |
Servicios D.V. |
||||||||||||||||||||
|
REGIÓ N |
1980 |
1985 |
1990 |
1995 |
1980 |
1985 |
1990 |
1995 |
1980 |
1985 |
1990 |
1995 |
1980 |
1985 |
1990 |
1995 |
1980 |
1985 |
1990 |
1995 |
1980 |
1985 |
1990 |
1995 |
|
|
Andalucía |
0.867 |
0.882 |
0.874 |
0.839 |
0.365 |
0.412 |
0.431 |
0.413 |
0.695 |
0.626 |
0.720 |
0.776 |
0.887 |
0.937 |
0.939 |
0.953 |
0.948 |
0.979 |
0.983 |
0.982 |
0.970 |
0.977 |
0.978 |
0.980 |
|
|
Aragón |
0.829 |
0.828 |
0.843 |
0.824 |
0.327 |
0.324 |
0.312 |
0.307 |
0.530 |
0.555 |
0.531 |
0.548 |
0.829 |
0.907 |
0.941 |
0.957 |
0.897 |
0.948 |
0.972 |
0.979 |
0.975 |
0.983 |
0.985 |
0.986 |
|
|
Asturias |
0.802 |
0.812 |
0.795 |
0.792 |
0.272 |
0.271 |
0.289 |
0.293 |
0.475 |
0.464 |
0.445 |
0.461 |
0.862 |
0.904 |
0.909 |
0.951 |
0.963 |
0.981 |
0.985 |
0.986 |
0.971 |
0.978 |
0.979 |
0.984 |
|
|
Baleares |
0.884 |
0.910 |
0.879 |
0.872 |
0.287 |
0.317 |
0.318 |
0.356 |
0.483 |
0.467 |
0.558 |
0.534 |
0.834 |
0.877 |
0.853 |
0.903 |
0.899 |
0.985 |
0.958 |
0.966 |
0.986 |
0.986 |
0.986 |
0.988 |
|
|
Canarias |
0.908 |
0.964 |
0.928 |
0.893 |
0.353 |
0.369 |
0.405 |
0.358 |
0.526 |
0.570 |
0.689 |
0.683 |
0.881 |
0.896 |
0.949 |
0.944 |
0.903 |
0.970 |
0.975 |
0.974 |
0.975 |
0.986 |
0.984 |
0.985 |
|
|
Cantabria |
0.761 |
0.792 |
0.825 |
0.830 |
0.270 |
0.283 |
0.345 |
0.356 |
0.383 |
0.343 |
0.455 |
0.459 |
0.844 |
0.896 |
0.924 |
0.967 |
0.898 |
0.939 |
0.972 |
0.969 |
0.974 |
0.984 |
0.985 |
0.986 |
|
|
Castilla y León |
0.827 |
0.801 |
0.789 |
0.774 |
0.299 |
0.324 |
0.322 |
0.366 |
0.488 |
0.518 |
0.531 |
0.555 |
0.898 |
0.923 |
0.938 |
0.969 |
0.899 |
0.961 |
0.965 |
0.969 |
0.975 |
0.971 |
0.973 |
0.977 |
|
|
Castilla la M. |
0.821 |
0.798 |
0.807 |
0.765 |
0.357 |
0.363 |
0.361 |
0.342 |
0.715 |
0.679 |
0.785 |
0.874 |
0.825 |
0.869 |
0.927 |
0.927 |
0.934 |
0.975 |
0.962 |
0.962 |
0.967 |
0.970 |
0.978 |
0.977 |
|
|
Cataluña |
0.886 |
0.887 |
0.890 |
0.853 |
0.354 |
0.332 |
0.369 |
0.361 |
0.597 |
0.580 |
0.640 |
0.680 |
0.885 |
0.929 |
0.945 |
0.965 |
0.934 |
0.950 |
0.979 |
0.981 |
0.976 |
0.983 |
0.986 |
0.986 |
|
|
Extremadura |
0.792 |
0.786 |
0.798 |
0.775 |
0.299 |
0.330 |
0.352 |
0.306 |
0.407 |
0.747 |
0.705 |
0.700 |
0.794 |
0.831 |
0.833 |
0.857 |
0.909 |
0.982 |
0.967 |
0.974 |
0.963 |
0.956 |
0.966 |
0.973 |
|
|
Galicia |
0.839 |
0.799 |
0.790 |
0.770 |
0.301 |
0.297 |
0.312 |
0.303 |
0.676 |
0.699 |
0.696 |
0.748 |
0.853 |
0.901 |
0.920 |
0.953 |
0.907 |
0.966 |
0.971 |
0.963 |
0.975 |
0.971 |
0.967 |
0.978 |
|
|
Madrid |
0.942 |
0.949 |
0.946 |
0.900 |
0.317 |
0.290 |
0.283 |
0.282 |
0.466 |
0.557 |
0.602 |
0.579 |
0.903 |
0.942 |
0.966 |
0.977 |
0.896 |
0.956 |
0.977 |
0.982 |
0.984 |
0.987 |
0.988 |
0.989 |
|
|
Murcia |
0.938 |
0.920 |
0.914 |
0.869 |
0.343 |
0.374 |
0.445 |
0.397 |
0.903 |
0.727 |
0.880 |
0.925 |
0.834 |
0.846 |
0.869 |
0.924 |
0.951 |
0.977 |
0.977 |
0.976 |
0.978 |
0.983 |
0.981 |
0.979 |
|
|
Navarra |
0.867 |
0.870 |
0.878 |
0.849 |
0.342 |
0.336 |
0.359 |
0.353 |
0.410 |
0.557 |
0.588 |
0.563 |
0.894 |
0.909 |
0.951 |
0.967 |
0.935 |
0.986 |
0.964 |
0.968 |
0.979 |
0.983 |
0.986 |
0.985 |
|
|
Rioja |
0.929 |
0.977 |
0.915 |
0.956 |
0.298 |
0.379 |
0.382 |
0.381 |
0.470 |
0.656 |
0.748 |
0.660 |
0.965 |
0.982 |
0.977 |
0.988 |
0.963 |
0.982 |
0.977 |
0.965 |
0.985 |
0.983 |
0.985 |
0.987 |
|
|
Valencia |
0.910 |
0.916 |
0.877 |
0.848 |
0.351 |
0.334 |
0.362 |
0.334 |
0.626 |
0.697 |
0.727 |
0.778 |
0.864 |
0.914 |
0.909 |
0.940 |
0.955 |
0.983 |
0.975 |
0.974 |
0.977 |
0.982 |
0.982 |
0.982 |
|
|
País Vasco |
0.830 |
0.855 |
0.857 |
0.850 |
0.341 |
0.376 |
0.412 |
0.404 |
0.685 |
0.681 |
0.804 |
0.906 |
0.868 |
0.891 |
0.931 |
0.967 |
0.921 |
0.979 |
0.982 |
0.977 |
0.983 |
0.987 |
0.988 |
0.987 |
|
Fuente: Elaboración propia a
partir de las series procedentes de Cordero y Gayoso
(1996) y Fundación bbva (1998).
Las regiones más
eficientes en el sector industrial son Cataluña, Madrid y La Rioja; y las
menos, Extremadura, Castilla La Mancha, Canarias y Murcia. En el sector de
construcción, las regiones más eficientes son Madrid, Cataluña, Andalucía y
Asturias, mientras que La Rioja, Castilla La Mancha, Baleares y Galicia son las
menos eficientes, y no existen grandes diferencias en los niveles de eficiencia
entre las regiones.
El sector
servicios destinados a la venta presenta las diferencias menores entre los
niveles de eficiencia regionales. Madrid, Baleares, Cataluña y La Rioja
mostraron proporciones elevadas, mientras que Extremadura, Murcia, Castilla
León, Castilla La Mancha y Galicia tienen niveles de eficiencia inferiores.
La
disponibilidad de datos sectoriales y regionales para la economía española
proporciona un panorama amplio del esquema productivo español. El diseño de
políticas económicas encaminadas a favorecer la eficiencia productiva
constituyen, por lo tanto, una importante fuente de crecimiento para la
economía.
3. Convergencia en
eficiencia de las regiones españolas
Los contrastes en
la eficiencia con que actúan los sectores productivos regionales muestran el
incremento potencial de la producción que las regiones españolas podrían lograr
si eliminaran sus niveles de ineficiencia en el empleo de los factores de
producción privados, capital y trabajo. Estos niveles pueden verse
condicionados por factores exógenos, sobre los que las regiones tienen un
reducido margen de maniobra, este es el caso de los equipamientos de
infraestructura. Con el objeto de analizar si las regiones se aproximan a sus
niveles de eficiencia y tratar de determinar si el capital público influye
favorablemente en este proceso, se investigó la convergencia en el ámbito
sectorial y, para el total de la economía, los niveles de eficiencia. En este
apartado se utilizó la valoración del stock regional elaborada por Álvarez y
Delgado (1999 y 2000), donde se recogió la capacidad de los equipamientos de
infraestructura con los que cuenta cada región en unidades físicas.
Esta es una
cuestión de gran importancia para interpretar las diferencias en el crecimiento
de las regiones españolas y comprobar en qué medida el marco de integración
logrado en el seno de la Unión Europea durante el periodo analizado favoreció
la convergencia en la economía española. El proceso de acercamiento tecnológico
dista mucho de ser automático y dependerá de la capacidad del país para
incorporar tecnologías avanzadas y adaptarlas a sus procesos productivos. La
existencia de convergencia condicional daría pie a que cada territorio tendiese
a convergir a su propio modo estacionario, y podrían ser muy distintos entre
sí. Por lo tanto, podrían mantenerse disparidades importantes debidas a la
persistencia en sus posiciones relativas. Tal situación justificaría el
mantenimiento de una política regional, que debería intentar corregir los
factores responsables de las diferencias en el largo plazo.
En primer lugar,
se estudió la sigma convergencia que permite obtener información acerca de la
disminución en las desigualdades entre regiones en el transcurso del tiempo. La
gráfica i ilustra los resultados
obtenidos y la evolución de la desviación típica del indicador de eficiencia.
Los sectores que registran una evolución más desfavorable, o que aumenta las
desigualdades regionales en este periodo, son los de energía y agricultura (en
los últimos tres años mejora su evolución, pero no logra alcanzar los niveles
obtenidos a comienzo del periodo), asimismo, tuvieron menores niveles de
eficiencia. Construcción e industria muestran trayectorias más favorables y,
por lo tanto, disminuyen las diferencias regionales, si bien este proceso no es
constante en el tiempo. El sector de servicios destinados a la venta es el que
mantiene una evolución más homogénea en todo el periodo. Para el total de la
economía, el estudio de la sigma convergencia muestra cómo las desigualdades
regionales se redujeron ligeramente en el periodo analizado. Estos resultados
están en línea junto con los obtenidos en otros trabajos para la economía española
(Maudos, Pastor y Serrano, 2000).
Gráfica i
Sigma
convergencia en eficiencia

A continuación,
este trabajo se centra en el estudio de la convergencia beta no condicionada.
En este caso, se analiza si aquellas regiones con menores niveles iniciales de
eficiencia experimentan mayores ganancias. Para ello, debe estimarse la
siguiente ecuación:
(6)
Donde eit representa la observación t-ésima
para la eficiencia correspondiente a la región i-ésima.
Cuando la relación entre el crecimiento de la eficiencia y el nivel inicial de la misma es inversa y
significativa, se produce un proceso de “convergencia” entre regiones (Barro y
Sala-i-Martin, 1992).
El cuadro 2.1
recoge los resultados de este análisis.[7]
Puesto que se dispone de un panel de datos, debe determinarse cuál de los
posibles estimadores es el adecuado. El test de Hausman
corrobora la existencia de efectos fijos, lo que lleva a presentar el estimador
en desviaciones ortogonales. Sin embargo, puesto que el modelo es dinámico, ya
que el regresor es la propia variable dependiente en
el periodo inicial, la variable explicativa es estocástica. Por este motivo, se
aplican variables instrumentales en el estimador en desviaciones ortogonales
debido a la endogeneidad del regresor
(el instrumento viene de la variable explicativa retardada en dos periodos).
Además, los residuos no presentan problemas de autocorrelación,
como se observa en el contraste efectuado, y sus errores estándar de heteroscedasticidad han sido corregidos. Cuando el signo de
la pendiente es negativo en la ecuación (6), indica un acercamiento de las
regiones menos eficientes con las que lo son más. Según esto, el análisis
realizado permite corroborar dicha convergencia entre regiones durante el
periodo considerado. Por sectores, la significatividad de los coeficientes
corrobora esta tendencia, salvo para el de energía.
Por último, se
estudia la influencia de las infraestructuras productivas en este proceso, para
ello se analiza la convergencia condicionada. Se trata de determinar si la
convergencia en los niveles de eficiencia está condicionada por estos
equipamientos, de manera que el aumento de las infraestructuras regionales
sería una vía para disminuir la discrepancias en eficiencia.
A continuación,
se introduce la variable de infraestructuras como regresor
adicional en la ecuación de convergencia (6), derivada a partir del Modelo
Neoclásico, lo que ha permitido el análisis de la influencia que ejercen dichos
equipamientos en el proceso de convergencia. Tras recurrir al mismo método de
estimación utilizado en el estudio de la ecuación (6), se incorpora el
indicador de infraestructuras totales en el cuadro 2.2. Se observa una mejora
sustancial en la velocidad de acercamiento en niveles de eficiencia para el
total de la economía, dado que el coeficiente β
continúa siendo negativo y además aumenta su cuantía. A escala sectorial sucede
lo mismo en servicios destinados a la venta e industria. Por su parte, el
sector de la construcción se mantiene estable, mientras que se comprueba la
dificultad de lograr mejoras de eficiencia en el sector agrario. En cuanto al
sector energético se ratifica cómo la introducción del capital público afecta
de manera negativa su proceso de convergencia, lo que puede estar relacionado
nuevamente con las dificultades de medición de su stock.
Cuadro 2.1
Convergencia β
en niveles de eficiencia
|
Agricultura |
Energía |
Industria |
Construcción |
S. D. V. |
Total |
|
|
β |
–0.184 |
–0.0649 |
–0.122 |
–0.285 |
–0.174 |
–0.09064 |
|
(–5.174) |
(–0.834) |
(–3.817) |
(–4.095) |
(–3.0178) |
(–1.927) |
|
|
Test Wald |
26.769 |
0.695 |
14.569 |
16.767 |
9.1072 |
3.712 |
|
Sig. Conjunta |
G.L. = 1 |
G.L. = 1 |
G.L. = 1 |
G.L. = 1 |
G.L. = 1 |
G.L. = 1 |
|
Test Hausman |
P2(1) = 24.283 |
P2(1) = 27.16 |
P2(1) = 15.045 |
P2(1) = 12.680 |
P2(1) = 26.08 |
P2(1) = 18.33 |
|
Autocorrelación |
||||||
|
primer y segundo |
–1.109 |
0.279 |
–2.100 |
–0.578 |
–0.589 |
0.225 |
|
orden |
0.096 |
–0.360 |
–0.888 |
–1.088 |
–0.695 |
0.512 |
Cuadro 2.2
Convergencia β
condicional en niveles de eficiencia
|
Agricultura |
Energía |
Industria |
Construcción |
S. D. V. |
Total |
|
|
b |
–0.1014 |
0.00228 |
–0.195 |
–0.274 |
–0.383 |
–0.318 |
|
(–0.972) |
-0.0155 |
(–2.214) |
(–3.638) |
(–7.265) |
(–3.327) |
|
|
kpub |
–0.0299 |
–0.0344 |
0.0228 |
–0.00699 |
0.0051 |
–0.0356 |
|
(–0.658) |
(–0.8014) |
-1.214 |
(–2.0242) |
-2.0867 |
(–2.7015) |
|
|
Test Wald |
33.0788 |
4.1049 |
17.968 |
57.915 |
64.997 |
11.1013 |
|
Sig. Conjunta |
G.L. = 2 |
G.L. = 2 |
G.L. = 2 |
G.L. = 2 |
G.L. = 2 |
G.L. = 2 |
|
Test Hausman |
P2(2) = 26.688 |
P2(2) = 32.14 |
P2(2) = 22.094 |
P2(2) = 12.726 |
P2(2) = 28.46 |
P2(2) = 38.17 |
|
Autocorrelación |
||||||
|
primer y segundo |
–1.528 |
0.427 |
–1.995 |
–0.634 |
0.342 |
1.134 |
|
orden |
–0.288 |
–0.257 |
–0.919 |
–1.177 |
0.374 |
1.018 |
Conclusiones
El desarrollo de
técnicas que permiten obtener mayor información acerca del comportamiento de
las economías supone avances significativos en la comprensión de los mecanismos
de crecimiento y convergencia entre economías. En este trabajo se utilizaron
técnicas de frontera que hacen viable la medición de la eficiencia técnica a
escala regional y sectorial en la economía española para el lapso 1980-1995. El
empleo de esta metodología detectó los problemas relacionados con el uso
eficiente de los factores productivos, lo que contribuye a la orientación del
diseño de medidas necesarias de política económica. La aplicación de estas
técnicas para el caso español muestra que tras la incorporación de España a la
Unión Europea la eficiencia técnica de los sectores productivos españoles
experimentó una evolución favorable. Estos incrementos contribuyeron al
crecimiento de los sectores productivos regionales.
El análisis de
convergencia en eficiencia comprobó que el mayor aumento se produjo en las
regiones que partían de niveles de eficiencia menores; es el caso de
Extremadura, Castilla La Mancha, Castilla León y Andalucía, lo que corrobora la
influencia positiva de los equipamientos de infraestructura en este proceso,
entre los que destacan los de comunicaciones. Estos resultados apoyan la
inversión en infraestructura como vía para reducir los niveles de ineficiencia
y lograr incrementos en la producción privada regional, y manifiesta el papel
favorable que la política de inversión pública jugó en este periodo, lo que
avala las políticas regionales que optan por impulsar la acumulación de este
factor en regiones desfavorecidas como instrumento para reducir las
disparidades regionales.
Las políticas
regionales planteadas en Europa y España incluyeron las infraestructuras
productivas como uno de los ejes de su actuación y se diseñaron intervenciones
orientadas a impulsar el crecimiento económico de las regiones más atrasadas
mediante la provisión de un nivel de infraestructura que garantice el
establecimiento de condiciones mínimas adecuadas para el desarrollo de la
actividad económica, con atención al impacto positivo en la localización y la
eficiencia de los factores productivos privados.
Bibliografía
Abramovitz, Moses
(1986), “Catching-Up, Forging Ahead and Falling Behind”, Journal of Economic History, 46: 86-125.
Aigner, Dennis J., C. A. Knox Lovell y Peter Schmidt (1977),
“Formulation and Estimation of Stochastic Frontier Production Function Models”,
Journal of Econometrics,
6: 21-37.
Álvarez,
Inmaculada y Ma de Jesús Delgado (1999), Las
infraestructuras productivas en España y su distribución regional: Una
propuesta de estimación en unidades físicas, documento de trabajo, 0199, Instituto Universitario
Ortega y Gasset, Fundación Ortega y Gasset, Madrid.
_____ (2000),
“Las infraestructuras productivas en España: estimación del stock en unidades físicas y análisis de su
impacto en la producción privada regional”, Revista
Asturiana de Economía,
19: 155-181.
Arellano, Manuel y Stephen Bond (1988), Dynamic Panel Data Estimation Using dpd, documento de trabajo, 88/15, The
Institute for Fiscal Studies, Londres.
Barro, Robert J. y Xavier Sala-i-Martin (1992),
“Convergence”, Journal
of Political Economy, 100 (2): 223-251.
Battese, Georges y
Tim Coelli (1993), A Stochastic Frontier Production Function
Incorporating a Model for Technical Inefficiency Effects, documento de trabajo, 69/93,
Econometrics and Applied Statistics, Department of Econometrics, University of
New England, Armidale.
_____ (1995), “A Model for Technical Inefficiency
Effects in a Stochastic Frontier Production Function for Panel Data”, Empirical Economics, 20: 325-332.
Coelli, Tim (1996), A Guide to Frontier Version 4.1: A Computer Program
for Stochastic Frontier Production and Cost Function Estimation, documento de trabajo cepa, 96/07, Centre for Efficiency and
Productivity Analysis, University of New England, Armidale.
Cordero,
Gervasio y Ángeles Gayoso (1996), El
comportamiento de las economías regionales en tres ciclos de la economía
española: primera explotación de una serie (1980-1995) del vab regional a precios constantes (base
1986), Contabilidad
Regional de España, Dirección de Análisis y Programación Presupuestaria,
Ministerio de Economía y Hacienda, Madrid.
De la Fuente, Ángel (2002),
“On the Sources of Convergence: A Close Look at the Spanish Regions”, European Economic Review, 46: 569-599.
Färe, Rolf, Shawna Grosskopf, Mary Norris y Zhongyang
Zhang (1994), “Productivity Growth, Technical Progress and Efficiency Change in
Industrialized Countries”, American
Economic Review, 84 (1): 66-83.
Fecher, Fabienne
y Sergio Perelman (1992), “Productivity Growth and Technical Efficiency in oecd Industrial Activities”, en Richard
E. Caves (ed.), Industrial
Efficiency in Six Nations, The mit
Press, pp. 459-488.
Fundación bbva (1998), El
“stock” de capital en España y su distribución territorial, Bilbao.
Giannetti, Mariassunta (2002), “The Effects of Integration on Regional
Disparities: Convergence, Divergence or Both?”, European Economic Review, 46 (3):
539-567.
Gumbau Albert, Mercedes (1998), “La
eficiencia técnica de la industria española”, Revista
Española de Economía,
5 (1): 67-84.
_____ y Joaquín Maudos (1996), “Eficiencia productiva sectorial en las
regiones españolas: una aproximación frontera”, Revista
Española de Economía,
13 (2): 239-260.
López Bazo,
Enrique, Esther Vayá, Antonio J. Mora y Jordi Suriñach (1999), “Regional Economic Dynamics and
Convergence in the European Union”, The Annals of Regional Science,
(33) 3: 343-370.
Magrini, Stefano
(1999), “The Evolution of Income Disparities Among the Regions of the European
Union”, Regional
Science and Urban Economics, (29) 2: 257-281.
Mankiw, N. George, David Romer y David N. Weil (1992), “A Contribution to the
Empirics of Economics Growth”, Quarterly Journal of Economics, cvii (2): 407-437.
Maudos, Joaquín, José M. Pastor y Lorenzo Serrano
(2000), “Crecimiento de la productividad y su descomposición en progreso
técnico y cambio en la eficiencia: una aplicación sectorial y regional en
España (1964-93)”, Investigaciones Económicas, 24 (1): 197-205.
Meeusen, Wim y Julien van den Broeck (1977),
“Efficiency Estimation from Cobb-Douglas Production Functions with Composed
Error”, International
Economic Review, 18 (2): 435-444.
Paci, Raffaele y Francesco Pigliaru
(2002), “Technological Diffusion, Spatial Spillovers and Regional Convergence
in Europe”, en Juan Ramón Cuadrado Roura y Marti Parellada (eds.), Regional Convergence in the European Union. Facts,
Prospects and Policies, Springer, Heildeberg.
Pedraja, Francisco, Julián Ramajo y Javier Salinas (1999), “Eficiencia productiva del
sector industrial español: un análisis espacial y sectorial”, Papeles
de Economía Española,
80: 51-67.
Enviado: 30 de mayo de 2004.
Reenviado:
2 de diciembre de 2004.
Aceptado: 8 de febrero de 2005.
Mª Jesús Delgado Rodríguez es doctora en ciencias económicas y
empresariales por la Universidad Complutense. Labora para la Universidad Rey
Juan Carlos en la Facultad de Ciencias Jurídicas y Sociales, campus de Vicálvaro.
Inmaculada Álvarez Ayuso es también doctora en ciencias
económicas y empresariales por la Universidad Complutense. En el campus
de Somosaguas de esta universidad se desempeña
profesionalmente.
Las líneas de
investigación de ambas versan sobre la eficiencia técnica, las políticas
públicas en capital público y en educación, así como la convergencia regional.
En cuanto a sus publicaciones conjuntas, se cuentan las siguientes: 1)
“Infraestructuras y eficiencia técnica: un análisis a partir de técnicas
frontera”, Revista de Economía Aplicada, 2003; 2) “Dinámica de los
equipamientos de transporte, comunicaciones y energía de las regiones
españolas”, Boletín ice Económico, núm. 27, 2002, pp. 9-17; 3) Estimación
del capital público, capital privado y capital humano para la UE-15, documento de trabajo, Instituto de
Estudios Fiscales, Madrid, 2002; 4) Medición de la eficiencia técnica
para los países de la ue, documento de trabajo, Instituto
Complutense de Análisis Económico, núm. 0210, Madrid, 2002; 5) “Medición de la
eficiencia técnica en la economía española: el papel de las infraestructuras
productivas”, Papeles de Trabajo, núm. 18/01, Instituto de Estudios
Fiscales, Madrid, 2001; 6) “Metodología para la elaboración de índices de
equipamientos de infraestructuras productivas”, revista Momento
Económico, núm. 117,
septiembre-octubre de 2001, pp. 20-35, y 7) “Evaluación de la eficiencia
técnica en los países miembro de la Unión Europea”, Gestión
y Política Pública, xiv (1), cide,
México, primer semestre de 2005, pp. 107-128.
[1] Los
trabajos de Barro y Sala-i-Martín (1992) y Mankiw, Romer y Weil (1992) ofrecen una
amplia literatura que explica el mantenimiento de las disparidades
internacionales a partir del hecho de que los países poseen fundamentos
económicos muy diferentes, de manera que, de acuerdo con el modelo neoclásico,
convergen a largo plazo hacia posiciones de equilibrio alejadas.
[2] Un
determinante clave del proceso de convergencia es el efecto del catch-up
tecnológico destacado por Abramovitz (1986), De la
Fuente (2002) y Paci y Pligliaru
(2002).
[3] En
los trabajos que estiman índices de Malmquist, el
desarrollo de nuevas técnicas (innovación) desplaza la frontera de
posibilidades de producción, mientras que la difusión de técnicas contribuye a
la eficiencia.
[4] Siguiendo
a Battese y Coelli (1995),
hemos supuesto que la ineficiencia técnica en producción se corresponde con una
distribución normal truncada en cero. Puesto que la ineficiencia sólo puede
reducir la producción bajo la frontera, es necesario suponer distribuciones
asimétricas asociadas a dicho término, también son aceptables las distribuciones
half-normal
y exponencial. Sin embargo, en diversos trabajos empíricos (Gumbau
y Maudos, 1996) se demuestra que los resultados
obtenidos con cualquiera de las distribuciones mencionadas son similares.
[5] La
función de verosimilitud y sus derivadas parciales respecto a los parámetros
del modelo se presentan en Battese y Coelli (1993), donde la primera se expresa según los
parámetros de la varianza, s2s
= s2v + s2 y g = s2/s2s.
[6] Los
cálculos de las funciones frontera estimadas en este trabajo se realizaron con
la herramienta de programación existente en Frontier,
versión 4.1 (Coelli, 1996).
[7] Los
cálculos han sido realizados mediante el uso del paquete dpd, programado por Arellano y
Bond (1988).