Un indicador de accesibilidad a unidades de servicios
clave para ciudades mexicanas: fundamentos, diseño y aplicación
Carlos F.
Garrocho Rangel*
Juan Campos
Alanís**
Abstract
Several
institutions in Mexico are currently working in collaboration with the Federal
Government and the un-Habitat Programme towards building up some urban observatories to
consolidate Observatorio Urbano
Nacional - Red
oul (National Urban Observatory).
Some of the main aims of this project is to provide some indicators that are actually
useful and that can be used systematically in the decision making process of
urban planers. In this paper we propose the design of an indicator of public
and private service accessibility that could be applied in the urban planning
tasks in a national context and thus could enrich the consolidation of urban
observatories in Mexico. The paper contributes to the current debate taking place in Mexico about the importance of public
and private service accessibility, as an indicator of metropolitan performance
and quality.
Keywords: accessibility, accessibility indicator, public
services, urban observatories.
Resumen
En México,
diversas instituciones están trabajando con el gobierno federal y el Programa
Hábitat de la Organización de las Naciones Unidas en la construcción de
observatorios urbanos que conformen el Observatorio Urbano Nacional (Red oul). Uno de los propósitos principales
de este proyecto es contar con sistemas de indicadores realmente útiles, que
apoyen cotidianamente la toma de decisiones de los planificadores urbanos. En este trabajo se propone el diseño
de un indicador de accesibilidad a servicios públicos y privados que pueda ser
utilizado cotidianamente en tareas de planeación urbana en el contexto
nacional, y que enriquezca la construcción de observatorios urbanos en México.
Así, este artículo puede contribuir al debate que actualmente se lleva a cabo
en México sobre la importancia de la accesibilidad a servicios públicos y
privados, como un indicador de desempeño y de calidad metropolitana.
Palabras clave:
accesibilidad, indicador de accesibilidad, servicios públicos, observatorios
urbanos
*
El Colegio Mexiquense, a.c.
Correo-e: cgarrocho@cmq.edu.mx.
**
Universidad Autónoma del Estado de México. Correo-e: caaj7007@yahoo.com.
Introducción
La planeación
eficaz de las ciudades requiere de información precisa y útil tanto de la
situación de las ciudades, como de sus tendencias futuras. Ello, aunado a que
cada vez es mayor la proporción de la población que vive en áreas urbanas, ha
motivado a los gobiernos tanto nacionales como locales y a las principales
organizaciones internacionales a realizar enormes esfuerzos por contar con
buenos indicadores sobre la situación actual y el futuro de las ciudades (un-Habitat,
2005a; Kingsley, 1998).
En este sentido,
el reto es no sólo construir sino también
mantener actualizado un sistema de indicadores realmente útiles que
apoye cotidianamente la toma de decisiones de los administradores urbanos y el
diseño de las políticas de desarrollo de las ciudades, y que permita dar
prioridad y orientar los esfuerzos públicos y privados hacia los espacios
urbanos más necesitados. Ese esfuerzo, de carácter internacional, encuentra su
más clara expresión en el Programa de las 1000 Ciudades de
la Organización de las Naciones Unidas,
del cual México forma parte desde sus primeras etapas (un-Habitat, 2005a y 2005b).
Durante 2005, en
respuesta a un convenio firmado con la Organización de las Naciones Unidas, el
gobierno mexicano, por medio del Consejo Nacional de Ciencia y Tecnología, ha
apoyado la construcción de un Observatorio Urbano Nacional constituido en su
primera etapa por alrededor de 22 observatorios urbanos.[1]
Esos observatorios registran y dan seguimiento a un conjunto de indicadores
básicos recomendados por la Organización de las Naciones Unidas, pero también
promueven la construcción de indicadores más útiles y acordes a las necesidades
locales que apoyen el diseño de políticas de desarrollo urbano a escalas
espaciales suburbanas.
Tanto en el país[2] como
en el Área Metropolitana de Toluca (amt),
que es una de las ciudades en las que se construye actualmente un observatorio
urbano, se ha detectado la necesidad urgente de contar con indicadores de
accesibilidad a servicios públicos clave para el bienestar de grupos de
población vulnerables.
La estrategia de
presentación del artículo se articula en torno a siete secciones y un anexo. En
la primera sección se presentan los objetivos del artículo, que deberán
situarse en el marco del esfuerzo nacional por construir un Observatorio Urbano
Nacional. En la segunda se hace una amplia revisión de los diversos enfoques
conceptuales y metodológicos que reporta la literatura para entender y estimar
la accesibilidad, de la que se concluye que el enfoque de interacción espacial
es quizá el más sólido y práctico que existe para estimar la accesibilidad a y de los servicios a escala metropolitana.
Esa sección es particularmente importante para apoyar la construcción de
observatorios urbanos en México, porque sintetiza gran parte de la literatura
reciente sobre indicadores de accesibilidad, que no ha sido ampliamente
cubierta en nuestro país. En la tercera sección se propone el diseño de un
índice de accesibilidad a unidades de servicio en ciudades mexicanas y se
justifica su estructura conceptual y operativa. Cabe mencionar que se trata de
un índice de interacción espacial derivado del comportamiento territorial de
los usuarios de los servicios de salud mayores de 65 años en el amt. En la cuarta sección se definen
operativamente los componentes del índice de accesibilidad para los servicios
de salud, especialmente la manera como se determina y dimensiona la demanda
(población usuaria por ageb, área geoestadística básica), la oferta disponible (los servicios
en las unidades de salud) y los costos de transporte que se deben remontar para
poner en contacto a la población con los servicios médicos.[3] En
la quinta sección se pone a prueba el diseño del índice de accesibilidad para
ciudades mexicanas que se presentó en la tercera y cuarta secciones. Se estiman
los índices de accesibilidad para los servicios de salud orientados a la
población mayor de 65 años y se analizan los resultados; y en la sexta sección
se simulan algunos escenarios con el fin ilustrar la utilidad del índice de
accesibilidad en algunas tareas de planeación metropolitana. Finalmente, en la
séptima sección se presentan las principales conclusiones del trabajo. Al final
del texto se incluye un extenso listado de la bibliografía consultada y un
anexo en donde se explica detalladamente, mediante un ejemplo, el cálculo y
aplicación del índice de accesibilidad que se propone en este artículo.
1. Objetivos
Los objetivos de
este artículo son los siguientes:
·
Diseñar
un indicador de accesibilidad a servicios públicos[4] con
sólidos fundamentos conceptuales, que por su sencillez, utilidad y
requerimientos de información pueda ser utilizado en tareas de planeación
urbana en el contexto nacional, de tal manera que enriquezca la construcción de
observatorios urbanos en México.
·
Poner
a prueba el diseño conceptual y operativo del indicador de accesibilidad a
servicios públicos y privados en una zona de estudio de alta complejidad, como
el amt.
·
Contribuir
con propuestas concretas al debate que actualmente se lleva a cabo en México sobre
la importancia de la accesibilidad a servicios públicos y privados, como un
indicador de desempeño y de calidad metropolitana.[5]
2. Accesibilidad: qué
es y cómo se mide
Desde hace
décadas, el concepto de accesibilidad ha sido objeto de atención de diversas
disciplinas; sin embargo, no parece existir una definición generalmente
aceptada del concepto. La accesibilidad es uno de esos conceptos que parecen de
fácil comprensión hasta que se enfrenta el problema de definirlo y medirlo.
Quizá por eso contrasta la intensidad de su uso con las pocas definiciones
explícitas que reporta la literatura (Bath et al., 2000).
2.1. Una definición
operativa de accesibilidad
No es el
propósito en este trabajo proponer una definición teórica, exhaustiva y general
del concepto de accesibilidad, pero, dados los objetivos de este texto, sí se
requiere establecer una definición operativa que nos permita medirla, tanto
para zonas de la ciudad (ageb)
como para las unidades de servicio. Con ese fin se revisan a continuación dos
definiciones de libro de texto ampliamente aprobadas en la comunidad
académica, y derivamos una más que, al mismo tiempo que es coherente con las
definiciones examinadas, resulta útil para lograr los objetivos de este
trabajo.
Una de las
definiciones de accesibilidad más aceptadas es la de Brian Goodall
(1987), quien –en su famoso diccionario de geografía humana– propone que
“accesibilidad es la facilidad con la que se puede alcanzar un cierto sitio (destino), desde otros puntos en el territorio
(orígenes),
por lo que sintetiza las oportunidades de contacto e interacción entre
determinados orígenes y destinos”. Dos aspectos interesa resaltar de esta
definición. Uno es la parte que habla de las oportunidades (o probabilidades) de contacto e interacción, que es lo
que Alun E. Joseph y David R. Phillips (1984) llaman accesibilidad
potencial, para
diferenciarla de la utilización efectiva del servicio, a la que llaman accesibilidad
real. La otra es el
carácter agregado de la definición: según Goodall,
accesibilidad se refiere a las oportunidades de interacción entre orígenes y
destinos (es decir, entre áreas y/o puntos) más que a la interacción efectiva
entre individuos y destinos. En síntesis, la definición de Goodall
es probabilística y agregada.
Por su parte, la
definición de Ronald J. Johnston, Derek Gregory y David M. Smith (2000) –en su
también muy reconocido diccionario de geografía humana– va en la misma
dirección que la de Goodall, y también es
probabilística y agregada: “accesibilidad es la oportunidad de interacción y
contacto entre orígenes y destinos”. Ahora bien, esto no significa que la
accesibilidad no se pueda entender de otras maneras –en el nivel individual,
por ejemplo–, y tanto Goodall como Johnston, Gregory
y Smith exploran las múltiples dimensiones del concepto de accesibilidad.[6]
Sin embargo, las definiciones de orden general que subrayan la dimensión
espacial de la accesibilidad son suficientes para los propósitos de este
trabajo.
Así, a partir de
las definiciones revisadas se propone que en este trabajo se entienda por
accesibilidad a unidades de servicios: “el potencial de interacción
entre la población objetivo que vive en cada ageb del Área Metropolitana de
Toluca y las unidades de servicios disponibles en la ciudad”. Esta definición tiene la ventaja de
que puede adecuarse para cualquier grupo de población, para cualquier tipo de
servicio tanto público como privado, y para cualquier ciudad del país.
2.1.1.
Consideraciones complementarias a la definición operativa
Una vez
establecida la definición operativa de accesibilidad que se utilizará en este
trabajo, es necesario puntualizar algunos aspectos complementarios. Quizá el
primer punto que habría que aclarar es si el concepto de accesibilidad se
refiere a la población, a las unidades de servicio o a ambas. Es decir, si se
trata de accesibilidad a determinados destinos (dando
prioridad a la visión de los usuarios en el origen), o de accesibilidad de las unidades del servicio (en cuyo
caso es un atributo del destino). Lo que se puede decir es que ambos conceptos
son válidos, indican cosas distintas y se han utilizado ampliamente, como lo
reporta la literatura desde hace tiempo (Bach, 1981). Así, en este trabajo se
entiende la accesibilidad como un atributo compartido, tanto del origen (usuarios
potenciales) como del destino (unidades de servicio), ya que los relaciona de
manera directa.
Por lo tanto, el
enfoque desde el origen (zonas de la ciudad, en este caso ageb) permite estimar la
accesibilidad que tiene la demanda –o un segmento de la demanda– localizada en
cierta parte de la ciudad, a la oferta de servicios disponibles (lo que aquí
llamamos calidad urbana); mientras que el enfoque desde el destino (desde las
unidades de servicio) permite estimar qué tan accesible es la oferta –o un segmento
de la oferta– a la población demandante del servicio (lo que aquí llamamos desempeño
urbano). Así, en este
trabajo calidad urbana es la accesibilidad vista desde el punto de vista de la
demanda, mientras que desempeño urbano es la accesibilidad vista desde la
perspectiva de la oferta.
Por otro lado,
es oportuno señalar que el concepto de accesibilidad tiene dos componentes
básicos, uno físico y otro social, en el más amplio sentido del término. El
componente físico se relaciona con la distancia geográfica (como quiera que se estime) que
separa al usuario potencial del punto de servicio, expresa la proximidad
espacial entre ambos y representa la accesibilidad locacional
del servicio y/o de los usuarios (según la perspectiva que se adopte). El
componente social se refiere a la distancia social que existe entre el usuario potencial
y el servicio, e involucra las características de ambos.[7]
Por ello,
existen dos aproximaciones básicas para el estudio y medición de la
accesibilidad de los servicios, la de accesibilidad potencial y la de accesibilidad
revelada. La primera
se relaciona con el componente físico del concepto, se centra en la
accesibilidad potencial de los servicios e involucra la localización tanto de
la oferta (unidades de servicio) como de la demanda (usuarios potenciales). La
segunda considera el componente social de la accesibilidad y se preocupa por
estimar la accesibilidad revelada de los servicios usando, principalmente,
datos de utilización (encuestas y registros médicos, principalmente) (Joseph y
Phillips, 1984).
Como este
trabajo se ocupa de la accesibilidad potencial, las estimaciones y análisis se
apoyan en datos de la capacidad del servicio que se ofrece (la magnitud de la
oferta), de la magnitud de la demanda (información referente al grupo de
población en cuestión), y de la localización espacial tanto de la oferta como
de la demanda, para considerar los costos de transporte entre los orígenes (las
zonas de la ciudad donde radican los usuarios) y los destinos (los sitios de la
ciudad donde se localizan las unidades de servicio) (Knox, 1978; Handy, 1993; Verroen y Hilbers, 1996).
Normalmente, los
propósitos de la estimación de la accesibilidad son: vigilar que se mantenga un
cierto nivel de accesibilidad mínimo aceptable para los usuarios, reducir las
desigualdades de accesibilidad entre las diferentes áreas de la ciudad,
identificar problemas de accesibilidad que enfrentan las unidades de servicio y
que afectan su desempeño, e incluso simular escenarios para evaluar opciones de
localización para nuevas unidades de salud. Es menos común que se intenten
explicar los niveles de accesibilidad (Goodman et
al., 2001) y que se
explore la influencia de la accesibilidad en el bienestar de la población (Gulliford, 2002), en la utilización de los servicios (Meden
et al.,
2002) o en el éxito de su provisón (Fortney et al., 1999).
2.2. Principales
métodos de estimación de indicadores de
accesibilidad
Los indicadores
de accesibilidad que reporta la literatura pueden clasificarse en cinco
categorías: de separación espacial, de oportunidades acumulativas, de
interacción espacial, de utilidad y espacio-temporales. Salvo los indicadores
del primer tipo, todos comparten al menos dos elementos básicos: los costos de
transporte (como quiera que sean medidos) entre los orígenes y los destinos, y
la magnitud de la oferta del servicio; pero pueden incluir muchas más variables
relacionadas de maneras complejas y sofisticadas, de acuerdo con los propósitos
de cada análisis. En los siguientes párrafos se hace una apretada revisión de
esos indicadores con el fin de estar en condiciones de evaluarlos y de
seleccionar, sobre bases informadas, el que mejor se ajuste a las tareas de
planeación urbana que se realizan en el país.
2.2.1. Indicadores
de separación espacial
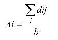
El
indicador de accesibilidad más sencillo es el de separación
espacial. La única
variable que utiliza es la distancia que separa al origen del destino y un
parámetro que representa la fricción de la distancia.[8] En
su forma más general, este indicador estima el promedio de recorridos de todas
las zonas de origen a todos los puntos de destino, de la siguiente manera:

Donde
Ai es el indicador de accesibilidad, dij
es el indicador de los costos de transporte, y b es el parámetro de la fricción de la
distancia. Algunos ejemplos de aplicación de este indicador se pueden ver en Dupuy y Stransky (1996), Pooler (1995) y Cervero et
al. (1999). Las
principales limitaciones del método de separación espacial es que sólo
considera la localización relativa de la oferta y la demanda, pero no sus
características (magnitud, disponibilidad, tipo de usuario...).
2.2.2. Indicadores
de oportunidades acumulativas
El
método de oportunidades acumulativas también es muy sencillo. Simplemente
define un tiempo de transporte o umbral de distancia para cada origen, y
utiliza el número de destinos potenciales dentro de ese umbral como una medida
de accesibilidad. La expresión genérica de este indicador es:

Donde
t
es el umbral, y Ot es un destino que está dentro del
umbral. La única información requerida es la localización de todos los destinos
(unidades de servicio) que están dentro del umbral establecido.[9]
Las críticas más fuertes a este método son que no considera ni las
características de los usuarios ni su conducta espacial, y que todas las
oportunidades localizadas dentro de los límites del umbral son consideradas
igualmente accesibles (Voges y Naudé,
1983).
2.2.3. Indicadores
de interacción espacial
Los indicadores
de interacción espacial son mucho más sofisticados que los anteriores, porque
incluyen la dimensión de la oferta (como factor de atracción) y los costos de
transporte. Esos costos adoptan una medida continua (a diferencia del método de
oportunidades acumulativas, que usa un umbral discreto) de tal manera que es
sensible a cualquier variación en los costos de transporte. La forma general
del modelo es la siguiente:

Donde Ai
es el indicador de accesibilidad, Oj es la atractividad
de la unidad de servicio, dij
es el costo de
transporte entre el origen y el destino, y b es la fricción de la distancia
derivada del comportamiento espacial de los usuarios.[10]
Los aspectos más delicados para poner en operación este indicador son la
determinación de las variables que realmente miden la atractividad
de las unidades de servicio (usualmente, la dimensión de la oferta), la manera
de medir los costos de transporte (tiempo, costo, distancia, energía... los
cuales se pueden mezclar para generar un indicador de costo más representativo,
y que se pueden medir en términos objetivos o subjetivos), y la forma de la
función que representa la fricción de la distancia (exponencial, gausiana...).[11]
La literatura reporta numerosas aplicaciones de indicadores de accesibilidad
basados en los razonamientos de la interacción espacial, que incluyen
características de la demanda, de la oferta, de la zona de estudio o del
sistema de transporte, entre muchas otras.[12]
Aunque los
indicadores de accesibilidad del tipo de interacción espacial han mostrado
tener un gran potencial analítico y operativo, no están exentos de
limitaciones. Las principales críticas que se les hacen es que consideran
iguales a todos los individuos de un cierto grupo de población (los individuos
localizados en una determinada área de la ciudad), lo que implica que no se podrán
encontrar diferentes niveles de accesibilidad entre individuos que residan en
la misma zona. Sin embargo, esta crítica aplica a cualquier indicador de
accesibilidad que utilice datos agregados a escala de zona (Handy y Niemeier, 1997). Otra crítica se refiere al método de
calibración del parámetro de la fricción de la distancia, porque algunos
investigadores utilizan valores de parámetros estimados en otras áreas de
estudio o para otro tipo de servicios. No obstante, esta crítica se minimiza si
se dispone de datos de utilización del servicio en la zona de estudio en
cuestión.[13] Una crítica más que se le
hace a este tipo de indicadores es que el resultado se ve afectado de manera
igual ante cambios iguales en la atracción o en los costos de transporte, pero esto
sólo ocurre con los indicadores más sencillos de tipo gravitacional, pero no
con los de interacción espacial (Bhat et
al., 2000).
2.2.4. Indicadores
de utilidad
Otro método de
estimar la accesibilidad es el que se basa en el concepto de la utilidad
derivado de la
microeconomía.[14] Este tipo de indicador se
basa en la utilidad individual percibida que reportará cada unidad de servicio
(destino) a cada usuario. La forma más general de este indicador es:

Esto es, que para
un individuo n, la accesibilidad es definida como el
valor esperado de la utilidad máxima entre todas las alternativas de destino j en el grupo de destinos C. Los indicadores de utilidad han
generado mucho interés en el medio académico, especialmente entre los
especialistas del transporte.[15]
Las principales críticas a este tipo de indicador son que no todos los destinos
están disponibles para todos los individuos, que por lo regular no se integran
restricciones a la elección de destinos, y que los resultados son derivados del
comportamiento observado de los usuarios (el cual puede estar sujeto a
innumerables limitaciones) y que no reflejan con claridad los beneficios de
incrementar las opciones de destino (Bath et al., 2000).
2.2.5. Indicadores
espacio-temporales
Finalmente, el
último enfoque que se presenta en esta revisión es el espacio-temporal. Los indicadores espacio-temporales
toman como elemento central en la estimación de la accesibilidad, las
restricciones temporales de los individuos considerados en el análisis (los
usuarios potenciales de los servicios).[16]
El fundamento de este enfoque es el reconocimiento de que los individuos tienen
periodos limitados para realizar determinadas actividades o proyectos (como, por ejemplo, asistir a
unidades de servicios). Así, por ejemplo, conforme el tiempo de transporte se
incrementa, el tiempo para realizar las actividades se reduce. A su vez, la
realización de esas actividades o proyectos enfrenta tres restricciones
fundamentales: restricciones de capacidad (relacionadas con las limitaciones
del desempeño humano; por ejemplo: los individuos necesitan tiempo para
descansar, dormir o comer, y las limitaciones son diferentes entre los
individuos, por ejemplo entre un adulto joven y un adulto mayor), restricciones
de sincronía (cuando
un individuo necesita estar en un sitio específico y en un momento determinado
para producir, comerciar o consumir; por ejemplo, en el trabajo, o en las horas
de trabajo de las unidades de servicio), y las restricciones
de autoridad (las que
se derivan de los mandatos superiores, legales, normativos o reglamentarios,
que inhiben el movimiento o las actividades; por ejemplo, las condiciones de
acceso a las unidades de servicio o las normas de conducta aprobadas).
Las principales
críticas que se le hacen al enfoque espacio-temporal es que requiere una
aproximación casi individualizada, lo que dificulta instrumentar análisis a
escala agregada (grupos de población, áreas intraurbanas,
ciudades, zonas metropolitanas...), y por ello la mayoría de los análisis
empíricos basados en este enfoque son de corte ilustrativo y confinados a microescalas, de muy corto plazo y esencialmente individual[17]
(Bath et al.,
2000; Johnston et al., 2000), aunque
en los últimos años
han aparecido
aplicaciones tecnológicamente muy avanzadas de este enfoque para medir la
accesibilidad en ciudades y regiones (Kwan, 1998;
Miller, 1999; Lee y McNally, 1998; Wang y Timmermans, 1996).
2.3. Valoración de
los métodos de estimación
La variedad de
indicadores de accesibilidad ha motivado a diversos investigadores a comparar
los resultados que se obtienen con cada uno de ellos, con el fin de elegir el
más consistente y preciso. Sin embargo, los resultados de esas comparaciones no
son concluyentes. Algunos autores advierten que los resultados pueden diferir
notablemente según el indicador que se utilice (Guy,
1983), por lo que lo más recomendable es que la situación y el propósito del
análisis definan el tipo de indicador que se seleccione (Handy y Neimeier, 1997).
Sin embargo, las
diferencias entre los resultados parecen disminuir cuando se trabaja con
indicadores derivados de un mismo método. Por ejemplo, Cliff M. Guy (1983) encontró correlaciones altas entre los
resultados de diferentes indicadores de interacción
espacial, y J. G. Koening (1980) encontró lo mismo para indicadores de utilidad.
Uno de los estudios
comprensivos más ambiciosos de indicadores de accesibilidad es el que realizó Mei-Po Kwan (1998), en el que
compara 12 indicadores de interacción espacial, seis de oportunidades
acumulativas y 12 del tipo espacio-temporal, encontrando fuertes correlaciones
entre los indicadores de cada categoría, correlaciones altas entre los de
interacción espacial y los de oportunidades acumulativas, y correlaciones
pobres entre estos dos tipos de indicador y los espacio-temporales. Por su
parte, Shunfeng Song (1996)
usa nueve diferentes indicadores de accesibilidad para explicar patrones de
densidad de población urbana, encontrando que los de interacción espacial
tienen un mayor poder explicativo.
Una primera conclusión
de la revisión de la literatura es que todos los indicadores de accesibilidad
tienen bondades y limitaciones, y que diferentes factores, entre los que
destacan el propósito del análisis, la disponibilidad de información, de
tecnología y de capacidades técnicas, definirán la selección del tipo de
indicador más adecuado para cada situación.
Adicionalmente,
en los últimos 10 años la literatura registra una gran diversidad de
aplicaciones de indicadores de accesibilidad, muchas de ellas realizadas en ambientes
de sistemas de información geográfica (sig). Las experiencias demuestran
que esto reduce los tiempos de cálculo, agiliza la representación cartográfica
de los resultados y facilita los análisis (Hardcastle
y Cleeve, 1995; Hillman y
Pool, 1997). Todo indica que el manejo de indicadores de accesibilidad en
ambiente sig
es una veta de investigación aplicada altamente recomendable para la mejor
planeación de las ciudades y sus servicios.
En este trabajo
se propone un indicador derivado de la interacción espacial en ambiente sig, debido a
la consistencia de los resultados de este tipo de indicador (que muestran
correlaciones significativas sin importar el indicador de interacción que se
utilice; Kwan, 1998), a su enfoque sistémico (que
permite considerar simultáneamente la totalidad de los orígenes, los destinos y
los costos de transporte; Drezner y Hamacher, 2001), a su capacidad de explicar diversos
procesos urbanos (Song, 1996), a que permite
considerar la magnitud y localización espacial de la oferta y la demanda según
su tipo, así como los costos de transporte medidos de diversas formas (Birkin et al., 2002); a su capacidad para simular
escenarios de accesibilidad y utilización de servicios a escala intraurbana y metropolitana (Ghosh
y McLafferty, 1987); a la solidez de sus fundamentos
conceptuales (Wilson, 1971), y a la facilidad de interpretar sus resultados (tdm, 2003).[18]
Pero, además, y no menos importante, porque se ajusta más a las capacidades
técnicas y operativas de las unidades de planeación urbana del país y a las
posibilidades de insertarlo en los observatorios urbanos que actualmente se
construyen en México.
3. Índice de
accesibilidad: diseño y evaluación
El diseño del
índice de accesibilidad del tipo de interacción espacial que se utiliza en este
trabajo tiene, en lo general, antecedentes diversos que se reportan en la
literatura,[19] pero responde a los
propósitos específicos de este trabajo. Como todos los indicadores de
accesibilidad de este tipo, combina un elemento de disponibilidad con otro que
representa los costos de transporte que enfrenta la demanda para entrar en
contacto con la oferta del servicio, más un parámetro[20]
que representa qué tan sensible es la demanda ante los cambios en los costos de
transporte. Su expresión formal es la siguiente:

Donde:
Sj = La oferta del servicio en la unidad de
servicio “j”.
Otot = La población demandante del servicio en la
zona de estudio.
Cij = Costos
de transporte entre el origen “i” (cada subzona
residencial donde se localiza la población objetivo) y la unidad de servicio
(destino) “j”.
-b = Parámetro de la fricción de la distancia.
Así, la expresión
Sj
/ Otot es
un indicador de disponibilidad a-espacial, muy utilizado, incluso por organismos
internacionales, cuando se analiza la provisión de servicios en áreas urbanas o
en regiones, y no es otra cosa más que un indicador de servicios disponibles
per cápita en la zona de estudio. En este caso, este cociente indica, de
manera muy gruesa, la cantidad de servicios que le correspondería a cada persona
del grupo objetivo en toda la zona de estudio, sin importar su localización
dentro de la ciudad y en un contexto en el que los costos de transporte fueran
irrelevantes. Pero como no lo son, y menos cuando los servicios se ofrecen de
manera gratuita o con un precio de casi cero (ya que entonces los costos de
transporte actúan como la barrera principal que impide a la población el acceso
instantáneo a las unidades de servicio), este componente de disponibilidad
es ponderado por el
efecto de los costos de transporte (Cij) entre cada
subzona residencial de la zmt
donde se localiza la población objetivo (en este caso, cada ageb donde se localiza población
mayor de 65 años sin servicios de seguridad social)
y cada una de las
unidades de servicio disponibles en la ciudad. Cabe destacar que, a su vez, los
costos de transporte son matizados por el parámetro -b
(la llamada fricción
de la distancia), el cual se estima empíricamente
mediante el análisis de datos de utilización del servicio, por lo que sintetiza
la sensibilidad de los usuarios ante cambios en los costos de transporte. De
esta manera se pueden obtener índices de accesibilidad para cada subzona (ageb)
donde reside población objetivo y para la zona de estudio en su conjunto (en
este caso, la zmt;
véanse detalles y ejemplos de aplicación en el Anexo).
Por otro lado,
si se le cambia al índice de accesibilidad el subíndice de la sumatoria, se
puede estimar la accesibilidad desde el punto de vista de la oferta y comparar
la accesibilidad entre unidades de servicio, identificar las menos accesibles y
proceder a analizar las causas. Éste sería un indicador del desempeño del servicio, que se expresaría de la
siguiente forma:[21]
Por lo tanto, el
índice de accesibilidad (en su forma tanto de demanda como de oferta) está diseñado de tal manera que es
sensible a cambios en:
·
La
dimensión de la oferta y la demanda del servicio (“Sj” y
“Otot”,
respectivamente).[22]
·
La
relación entre oferta y demanda (Sj / Otot).
·
Los
costos de transporte entre orígenes y destinos (Cij).[23]
·
La
sensibilidad de los usuarios ante cambios en los costos de transporte “-b”.
[24]
Adicionalmente,
el índice tiene otras ventajas. Si se proyectan hacia el futuro los valores de
las variables (de alguna o de todas, según sean las condiciones que se quieran
simular), se pueden generar escenarios probables de accesibilidad a los
servicios, lo que permitiría evaluar las opciones de localización de nuevas
unidades de servicio, y también facilita hacer comparaciones en materia de
accesibilidad entre áreas intraurbanas de una misma
ciudad. Esto es particularmente importante si se considera a la accesibilidad
como un indicador de calidad urbana (bienestar), como se hace en este trabajo.
3.1. Evaluación del
índice de accesibilidad: consistencia y principales limitaciones
Una complicación
inherente al proceso de diseñar indicadores de accesibilidad es evaluar la
calidad del diseño. Para esto, diversos autores han propuesto algunos criterios
básicos que debe cumplir cualquier indicador de accesibilidad, pero las referencias
más citadas en la literatura, a pesar de tener más de 25 años de haber sido
publicadas, siguen siendo las de Jörgen W. Weibull (1976) y J. M. Morris
et al. (1979),
quienes proponen los siguientes criterios de garantía de consistencia:
·
El
orden en el que se consideren los datos de los orígenes y los destinos no debe
afectar el indicador.
·
El
indicador no debe aumentar al incrementarse los costos de transporte, ni
reducirse al aumentar la magnitud de la oferta.
·
El
indicador debe considerar el comportamiento espacial de los usuarios.
·
El
indicador debe ser viable en términos operativos y no ser sólo un ejercicio
académico.
·
Los
resultados del indicador deben ser fáciles de entender e interpretar.
Actualmente,
estos criterios siguen siendo los referentes fundamentales para el diseño de
indicadores de accesibilidad (Bath et al., 2000). Las pruebas que se
realizaron muestran que el índice de accesibilidad que aquí se propone cumple
con todas las especificaciones de Weibull y Morris et
al., tal y como se
puede comprobar revisando el Anexo.
Es claro que las
opciones de aplicación del índice de accesibilidad que se diseña en este
trabajo son múltiples. Sin embargo, se debe ser cauteloso al utilizarlo, ya
que, como cualquier instrumento, tiene limitaciones que se deben tener en mente
para analizar con mayor justeza sus resultados. Dos son las más importantes. La
primera, que considera homogéneas la oferta y la demanda; es decir, no
considera aspectos cualitativos importantes que afectan la calidad de los
servicios, ni los aspectos que marcan la diferencia entre un usuario y otro,
como, por ejemplo, el estado físico de las personas, su género, grado de
movilidad, apoyos familiares o disponibilidad de tiempo o medios de transporte,
por mencionar sólo algunos.[25]
En otras palabras, se trata de un indicador de accesibilidad agregado, que poco
nos dice de las condiciones particulares de los usuarios y por lo tanto de su
accesibilidad individual a los servicios. La segunda limitación importante del
índice es que el parámetro (-b) que sintetiza la conducta espacial de
los consumidores, se estima a partir de datos efectivos de utilización,[26]
lo que ciertamente refleja el comportamiento espacial de los usuarios, pero no
necesariamente un patrón deseable, adecuado u óptimo, sino simplemente el que
se registra en la realidad.[27]
No obstante, por
el momento los interesados en la accesibilidad de servicios se encuentran en
una encrucijada donde sólo tienen dos opciones analíticas: o utilizar un
indicador de accesibilidad agregado (y al parecer no hay más prácticos que los
derivados de la interacción espacial), con lo que pierden la individualidad de
los usuarios; o utilizar un indicador desagregado (preferentemente los de
utilidad o los espacio-temporales), con lo que aprehenden la individualidad de
uno o de unos –muy pocos– usuarios, pero pierden capacidad para diseñar
políticas públicas de carácter general (Guagliardo,
2004). Evidentemente, lo mejor sería conjuntar ambos enfoques en una misma
estructura analítica, pero hasta el momento no se tiene claro cómo hacerlo
(Bath et al.,
2000).[28]
4. Definición
operativa del índice de accesibilidad para el amt
Con el propósito
de probar la capacidad del índice de accesibilidad a unidades de servicio, en
este apartado se estima la accesibilidad geográfica de los servicios de salud
pública para la población mayor de 65 años en el amt.[29]
El índice que se presentó en su formulación general en la sección anterior, se
instrumenta de la siguiente manera:

Donde:
Sj = Capacidad
de atención de cada unidad de salud “j”, estimada a partir de la productividad
promedio por médico que ha calculado el Instituto de Salud del Estado de México
(28 consultas diarias por médico).
Otot = Población
que gana menos de dos salarios mínimos mayor de 65 años y sin seguridad social,
de acuerdo con las estimaciones del Instituto de Salud del Estado de México.
Este dato se tiene para cada ageb
(Oi) y para la zmt en su conjunto (Otot).
Cij = Distancias
lineales entre el centroide de cada ageb (origen) “i” donde radica población objetivo (Oi)
y la unidad de salud (destino) “j”. Tanto el cálculo de los centroides como el de la matriz de distancias lineales
origen-destino se calcularon con el sig Arc
View.
-b = Parámetro de la fricción de la distancia
estimado a partir de los registros de utilización de las unidades médicas
durante 2004. El parámetro para las consultas generales en el amt fue de
2.99.[30]
Las definiciones
operativas de las variables del índice de accesibilidad tienen, aparentemente,
algunas limitaciones importantes, especialmente la que se refiere a los costos
de transporte, porque se utilizan distancias lineales, pudiéndose haber
utilizado algún índice que reflejara mejor los costos en los que incurren los
usuarios para acceder a las unidades de salud.[31]
Sin embargo, la sencillez de la definición operativa reporta a cambio la enorme
ventaja de que la base de datos necesaria es muy económica, rápida y fácil de
construir, ya que se utilizan fuentes de información convencionales (como los
censos de población y las estadísticas que genera el propio sector salud, y
rutinas propias de los sistemas de información geográfica). Además, con este
nivel de sencillez es suficiente para tener una medida útil de la accesibilidad –en cuanto a su orden
de magnitud– de las
zonas de la ciudad, de las unidades de salud y del área metropolitana en su
conjunto, que hace posible monitorear la evolución de la accesibilidad en el
tiempo, hacer comparaciones entre zonas de la ciudad y entre unidades de salud,
y simular escenarios de planeación, cuidando siempre que los resultados sean
claros y fácilmente entendibles por los administradores urbanos.
5. Probando el
indicador de accesibilidad para el caso de los servicios de salud en el amt
5.1. La distribución
espacial de la demanda
La población
pobre mayor de 65 años sin seguridad social en el amt se concentra en las áreas más
antiguas de la ciudad, especialmente en el centro histórico del municipio de
Toluca y en los centros históricos de los poblados que en las últimas décadas
se han integrado al área metropolitana (figura i).
Alrededor de esos centros y subcentros históricos de
alta concentración de población mayor, se distinguen zonas (anillos) de concentración intermedia de
población mayor de 65 años, y finalmente zonas de baja presencia de ese grupo
de población. En síntesis, lo que se observa es una distribución espacial de la
población que registra picos de concentración en los centros históricos y en
los barrios antiguos, y valles de baja concentración en los puntos intermedios.[32]
5.2. La distribución
espacial de la oferta
En general, la
distribución espacial de las unidades de salud tiene una elevada
correspondencia con la distribución espacial de la demanda (figura i). Muestra de esto es que sólo seis de
las 44 unidades localizadas en el amt se ubican en ageb de baja presencia de
población mayor de 65 años. En otras palabras: 86% de la distribución espacial
de la oferta es altamente consistente con la distribución espacial de la
demanda. Adicionalmente, los tamaños de las unidades de salud también registran
una alta relación con las dimensiones de la demanda, particularmente en la
parte central, norte y oeste del amt. Es notable esta correspondencia entre las
dimensiones y la distribución espacial de la oferta y la demanda, lo que indica
una adecuada respuesta institucional en términos de la distribución territorial
de los servicios, lo cual tiene un grado de complejidad mayor en una ciudad de
tan rápido crecimiento como el amt.
Figura i
Población mayor
de 65 años no derechohabiente por ageb, y
distribución de la oferta de servicios de salud en el Área Metropolitana de
Toluca

Fuente: inegi (2002); Instituto de Salud del Estado de México
(isem)
(2004).
5.3. Accesibilidad
por área de la ciudad: calidad urbana
De acuerdo con la
Secretaría de Desarrollo Social, el radio de cobertura normativo de las
unidades de salud en áreas urbanas es de un kilómetro (Sedesol,
1999). Al representar en un mapa la cobertura normativa es posible dividir
(clasificar) el amt
en zonas cubiertas y no cubiertas por el servicio (figura ii). Éste es un buen punto de arranque
para analizar la accesibilidad a los servicios de salud, pero no es suficiente.
La división dicotómica simple entre zonas cubiertas y zonas no
cubiertas es tajante,
no distingue grados de accesibilidad y no corresponde plenamente con lo que
ocurre en la realidad.[33]
En los hechos, la población que se localiza en las zonas no cubiertas en
términos normativos, sí tiene acceso –y en intensidades diferentes– a las unidades de salud en su conjunto, y no
sólo a la que se localiza a una cierta distancia normativa. Estas intensidades
o niveles de accesibilidad al sistema de salud en su
conjunto (como oferta
total del servicio o Sj) sólo pueden observarse si se calcula
un índice de accesibilidad que genere resultados continuos (es decir, una superficie
de accesibilidad), en
lugar de resultados dicotómicos simples.
Con el cálculo
del índice de accesibilidad emergen las diferentes intensidades de
accesibilidad potencial a lo largo y ancho del amt (figura iii). Los resultados del índice de
accesibilidad muestran un paisaje mucho más realista y complejo que la simple
aplicación de radios normativos de cobertura. Así, las áreas de la ciudad donde
se localizan las unidades de salud muestran elevados niveles de accesibilidad,
las áreas adyacentes registran niveles de accesibilidad intermedios, y las
áreas más alejadas de las unidades de salud –consideradas éstas en conjunto,
como un verdadero sistema– muestran niveles de accesibilidad
bajos o muy bajos.
Figura ii
Cobertura
normativa de los centros de salud urbanos del Área Metropolitana de Toluca

Fuente: inegi (2002); Instituto de Salud del Estado de México
(2004). El valor del radio de cobertura normativo se obtuvo de Sedesol (1999).
Figura iii
Accesibilidad a
servicios públicos de salud de la población mayor de 65 años no derechohabiente
por ageb del Área Metropolitana de Toluca

Fuente: inegi (2002); Instituto de Salud del Estado de México
(isem)
(2004).
Las ageb con los
menores niveles de accesibilidad se localizan, en general, en la periferia del amt, aunque
también se detectan, como excepción, algunas ageb ubicadas en el interior de
la ciudad. Esas zonas de baja accesibilidad pueden ser atendidas con la
instalación de nuevas unidades o ampliando las unidades existentes más
cercanas, y la decisión entre ambas opciones puede ser apoyada mediante la
simulación de escenarios utilizándose el índice de accesibilidad que aquí se
propone, como se verá más adelante (en la sección 6 de este documento).
El cálculo de la
accesibilidad a los servicios de salud a escala de ageb no sólo permite identificar
áreas de la ciudad con problemas críticos de acceso al sistema de salud en su
conjunto, que se convierten en objetivos estratégicos para la planeación
espacial del sistema de salud, sino también profundizar en el análisis de la
desigualdad de acceso, algo que no se puede hacer utilizando solamente los
radios normativos de cobertura. Para facilitar el análisis, las ageb se
clasificaron en tres categorías en función de los valores de sus índices de
accesibilidad: ganadoras, intermedias y marginadas. Las primeras –las
ganadoras– son
aquellas que registran niveles de accesibilidad iguales al promedio
metropolitano o arriba del promedio. Las segundas –las intermedias– incluyen 66% de las ageb con
accesibilidad menor al promedio metropolitano, pero que son las más próximas al
promedio; y las terceras –las marginadas– son las ageb con los niveles más bajos de
accesibilidad: 33% más alejado del promedio metropolitano (figura iv).[34]
Figura iv
Desigualdad de
acceso de la población residente en las ageb a las unidades de salud de
primer nivel del Área Metropolitana de Toluca

Fuente: inegi (2002); Instituto de Salud del Estado de México
(isem)
(2004).
Las ageb ganadoras
suman 45 (20.6%) y
albergan a 6,903 mayores de 65 años, pobres y sin seguridad social, que
representan 21% del total de la población objetivo. Las ageb intermedias son 172 (59.9%), donde se localizan
20,079 habitantes que equivalen a 61% de la población objetivo; y la población
localizada en las ageb
marginadas
(87 en total) equivale a 19.8% del total (es decir, 6,526 habitantes). En
total, casi 80% del total de la población objetivo está por debajo de la media
del nivel de accesibilidad.
La diferencia
entre los recorridos mínimos necesarios para acceder a la unidad de salud más
próxima también nos da una medida de desigualdad de acceso en el amt. Mientras
el recorrido mínimo necesario promedio es 1.08 kilómetros (8% arriba de lo que
marca el radio de cobertura normativa), el recorrido mínimo necesario para la
población de las ageb
con mayor accesibilidad es de 0.12 kilómetros (que se registra en una de las ageb de menor
tamaño donde se localiza una unidad de salud), y el recorrido mínimo necesario
más elevado es el de una ageb
localizada en la periferia del oeste del amt, cuya población requiere
recorrer 4.3 kilómetros para acceder a la unidad de salud más cercana. Es
decir, casi cuatro veces más que el promedio metropolitano y 35 veces más que
la población localizada en las ageb mejor posicionadas.
Por su parte,
las desigualdades en accesibilidad a los servicios médicos durante los fines de
semana (cuando cierran 90% de las unidades de salud) son mucho mayores (figura v). Todos estos datos dan una idea de la
discriminación espacial que se registra en el amt, en
términos de la accesibilidad a unidades de salud para población pobre mayor de
65 años sin seguridad social.
Figura v
Accesibilidad de
fin de semana de la población residente en las ageb y de las unidades de salud
de primer nivel de Área Metropolitana de Toluca

Fuente: inegi (2002); Instituto de Salud del Estado de México
(isem)
(2004).
5.4. Accesibilidad
por unidad de salud: desempeño urbano
El índice de
accesibilidad de las unidades de salud es resultado de la interrelación entre
los costos de transporte que deben sufragar los usuarios para acceder al
servicio y la magnitud de la oferta en el punto de atención. Esto se refleja en
la distribución de los índices de accesibilidad por unidad de salud (figura vi). Las unidades con mayor capacidad de
atención y mejor ubicadas respecto a la demanda registran los índices de
accesibilidad más altos. Destacan, lógicamente, las localizadas en el centro
del amt
y las que se localizan en las partes más consolidadas de la ciudad. Por su
parte, las unidades que resultan con los índices de accesibilidad más bajos son
aquellas con poca capacidad de atención y localizadas en la periferia del amt, pero que
cumplen con su función de ofrecer atención a zonas de baja concentración de
demanda. Esto refleja la correspondencia que ya se anticipaba entre la
distribución espacial de la demanda y la de la oferta, pero además, la
correspondencia espacial entre la dimensión de la demanda y la respuesta
institucional.
Sin embargo, se
detectan cuatro unidades de salud que registran bajos niveles de accesibilidad
a pesar de que no se localizan en la periferia del amt, por lo que vale la pena
analizar más a fondo estos casos. Una de esas unidades se localiza en el borde
norte del centro histórico del amt, otra al este de la unidad anterior, y las dos
restantes al oeste de la mancha urbana (figura vi).
Como se puede observar, a pesar de que esas cuatro unidades se ubican al
interior del amt,
y por lo tanto ganan en proximidad con la población objetivo, su baja capacidad
de atención contrarresta sus ventajas de localización, además de que las dos
unidades localizadas más al oeste están en el límite de la zona industrial, lo
que también explica de manera lógica su baja accesibilidad. De cualquier
manera, esas unidades cuya capacidad de atención no concuerda plenamente con la
distribución espacial y con las dimensiones de la demanda, representan apenas
9% del total de las unidades de salud que operan en el amt.
5.5. Accesibilidad
metropolitana
La sumatoria de
los índices de accesibilidad de todas las ageb que integran el amt equivale a lo que aquí llamamos accesibilidad
metropolitana, y
sirve de referente para monitorear en el tiempo la accesibilidad total del
sistema de salud, para evaluar decisiones de planeación y para hacer
comparaciones con lo que ocurre en otras ciudades. Para el caso del amt, la accesibilidad metropolitana fue de
186.7 (indicador que debería subir a lo largo del tiempo, si la planeación del
sistema de salud es exitosa), la accesibilidad promedio por ageb fue de 0.61 (indicador que
también debería subir), y la desviación estándar fue de 1.98 (como este
indicador refleja la desigualdad de acceso, debería descender en el tiempo).
6. Simulación de
escenarios: el indicador de accesibilidad como instrumento de planeación
La construcción
de escenarios permite simular los posibles efectos de una cierta acción de
política pública en el desempeño de la ciudad y/o de los servicios (de salud),
en términos de su accesibilidad y, por lo tanto, del beneficio que reportan a
la población objetivo (la población de la tercera edad). Con fines ilustrativos
de la utilidad del índice de accesibilidad aquí propuesto, se decidió evaluar
los efectos de dos posibles acciones de política pública:
i. Instalar
una nueva unidad de servicio al este del amt, donde se padecen bajos
niveles de accesibilidad a los servicios de salud.
ii. Incrementar
el número de médicos en una unidad ya establecida en la misma zona del amt.
La simulación de
los escenarios permitiría evaluar y elegir cuál de las acciones de política
pública generaría un mayor impacto en términos de la accesibilidad a los
servicios de salud por parte de la población de la tercera edad que reside en
la zona adyacente al sitio donde se planea incrementar la oferta del servicio,
y cuál acción tendría mayor impacto en la accesibilidad global metropolitana
(figura vii).
Figura vii
Localización de
la zona evaluada en los escenarios 1 y 2 para medir la accesibilidad de la
población residente en las ageb
y de las unidades de salud de primer nivel del Área Metropolitana de Toluca

Fuente: inegi (2002); Instituto de Salud
del Estado de México (isem)
(2004).
6.1. Escenario 1:
construcción de una nueva unidad de salud
Como una
alternativa para mejorar la accesibilidad de la parte este del amt, que se ha
identificado como de baja accesibilidad (figura iii),
se simula la construcción de una nueva unidad de salud localizada en el centro
de una de las ageb
más desaventajadas del municipio de San Mateo Atenco.[35]
Esa acción de
política pública generaría una nueva superficie de niveles de accesibilidad. Si bien
a escala metropolitana el escenario no cambia de manera radical, puesto que la
construcción de una sola unidad de salud constituye una acción de baja
intensidad, el impacto sí es importante en la zona colindante al sitio donde se
simula la construcción de la unidad de salud.
Así, mientras el
índice de accesibilidad metropolitana pasa de 186.8 a 188.6, un incremento
marginal de apenas de 1.8 puntos, que equivale a menos de uno por ciento, en
las ageb
colindantes al lugar donde se simula la construcción de la clínica, el
indicador de accesibilidad se eleva 33.3%. Además, el recorrido mínimo promedio
que tendrían que realizar los usuarios de la zona adyacente para acceder a una
unidad de salud pasa de 1.5 a 1.0 km, lo que significa una reducción de 33% en
los recorridos mínimos que deberán hacer los mayores de 65 años residentes en
la zona para acceder a una unidad de salud (cuadros 1 y 2).
Cuadro 1
Área
Metropolitana de Toluca. Escenarios de planeación e indicadores de desempeño
|
Inicial |
3 médicos más |
1 clínica nueva |
|
|
Población beneficiada |
15,223 |
15,223 |
15,223 |
|
AGEB en el AMT |
304 |
304 |
304 |
|
Accesibilidad en la zona |
186.77 |
192.21 |
188.58 |
|
Impacto respecto a la situación inicial |
0 |
5.44 |
1.81 |
|
Incremento porcentual |
- |
2.91 |
0.97 |
|
Distancia mínima promedio para acceder a una
unidad de salud |
1.06 |
1.06 |
1.04 |
|
Incremento porcentual |
0 |
0 |
-1.19 |
Cuadro 2
Zona este del amt.
Escenarios de planeación e indicadores de desempeño
|
Inicial |
3 médicos más |
1 clínica nueva |
|
|
Población beneficiada |
217 |
217 |
217 |
|
AGEB en la zona este
del AMT |
8 |
8 |
8 |
|
Accesibilidad en la zona |
377.74 |
755.79 |
503.77 |
|
Impacto respecto a la situación inicial |
0 |
378.05 |
126.03 |
|
Incremento porcentual |
- |
100.08 |
33.36 |
|
Distancia mínima promedio para acceder a una
unidad de salud |
1.51 |
1.51 |
1.02 |
|
Incremento porcentual |
0 |
0 |
-33 |
Como es lógico,
los efectos espaciales de esa acción de política pública se manifiestan con
mayor intensidad en las ageb
adyacentes a donde se propone construir la nueva unidad de salud, mientras que
en el resto de las ageb
los niveles de accesibilidad permanecen prácticamente sin cambios, debido a que
el incremento en la magnitud del servicio es relativamente bajo y no alcanza a
revertir la influencia de los costos de transporte en el acceso de la población
a los servicios de salud (figura viii).
Figura viii
Escenario 1:
accesibilidad a los servicios de salud de la población mayor de 65 años no
derechohabiente por ageb
del Área Metropolitana de Toluca

Fuente: inegi (2002); Instituto de Salud del Estado de México
(isem)
(2004).
6.2. Escenario 2:
ampliación de la planta médica
El escenario 2
simula la contratación de tres médicos que se ubicarán en una de las unidades
existentes al este del amt.
Al comparar los efectos en la accesibilidad derivados de la construcción de una
nueva unidad con los que se generarían al incrementar el número de médicos, es
claro que es mucho más conveniente la segunda opción.
Por una parte,
los niveles de accesibilidad global metropolitana son muy superiores a los
derivados de la construcción de una unidad de salud (que contaría con un solo
médico), pues el indicador metropolitano se incrementa 5.4 puntos (contra 1.81
del escenario 1), con lo que se alcanza un índice de accesibilidad global de
194.0 (mientras en el escenario 1 se llegaba a 188.6) (cuadros 1 y 2). Por el
otro lado, al analizar los impactos en las ageb colindantes al sitio donde
se propone incrementar la planta de médicos, los beneficios también son mayores
que en el escenario 1. El incremento de la accesibilidad que reporta contratar
a tres nuevos médicos en una de las clínicas existentes en esa parte del amt es de 100%
respecto a la situación inicial, y de 50% respecto al escenario 1 (que simula
la construcción de una clínica) (figura ix).
Figura ix
Escenario 2:
accesibilidad a los servicios de salud de la población mayor de 65 años no
derechohabiente por ageb
del Área Metropolitana de Toluca

Fuente: inegi (2002); Instituto de Salud
del Estado de México (isem)
(2004).
6.3. Recomendaciones
de política derivadas de la formulación de escenarios
En términos de la
accesibilidad de la población objetivo, es mucho más recomendable contratar a
tres nuevos médicos en una de las unidades existentes al este del amt que
construir una nueva unidad de salud (que opere con un solo médico), aun si se
localiza en la parte menos favorecida de la zona objetivo. De cualquier manera,
habría que comparar los requerimientos económicos (costos de inversión y costos
de operación) de construir una nueva unidad de salud (terreno, costos de
construcción, equipamiento, la contratación de un médico…) contra los que
implica la contratación de tres nuevos médicos en una unidad de salud ya
existente en la zona, para completar el análisis. De cualquier manera, el
índice de accesibilidad es una herramienta de planeación que facilita
concentrarse en el objetivo central de la política pública que pretende facilitar
el acceso de la población mayor de 65 años a los servicios de salud.
Conclusiones
El índice de
accesibilidad que se presentó en este trabajo incorpora: i) un indicador de disponibilidad; ponderado por, ii) los costos
de transporte que los
usuarios deben sufragar para acceder a las unidades de servicio; los que a su
vez son matizados por, iii) un parámetro que representa la sensibilidad
de los usuarios a los costos de transporte. Así, los costos de transporte –ponderados por el
parámetro de la fricción de la distancia– incorporan la variable espacial al
índice de accesibilidad, porque implican la localización relativa de los
usuarios potenciales (la demanda o población objetivo) y las unidades de
servicio (la oferta) existentes en el amt, así como la conducta
espacial de los consumidores. Todo en un marco sistémico, que permite analizar
su interrelación de manera conjunta y simultánea.
El índice de
accesibilidad probó ser una herramienta de análisis y planeación de aplicación
viable en la planeación de ciudades mexicanas. Incorpora algunos de los
elementos más importantes que afectan la accesibilidad y permite la simulación
de escenarios para apoyar la toma de decisiones. Además es suficientemente claro (lo que permite discutirlo y
evaluarlo de manera más objetiva y menos intuitiva), consistente en términos conceptuales (por lo que
su diseño es razonablemente confiable) y práctico (lo que significa que puede ser usado
cotidianamente para la planeación espacial de servicios urbanos). Por todas
estas razones, se puede suponer que vale la pena insertar el índice de
accesibilidad que aquí se propone en los observatorios urbanos que actualmente
se construyen en México.
Adicionalmente,
debe destacarse el apoyo que brindan los sig (Arc
View, en este caso)
para la realización de análisis de accesibilidad, ya que facilitan el cálculo
de las variables espaciales y la representación cartográfica de la información
y los resultados, lo que agiliza y enriquece el análisis.
Principales
hallazgos e implicaciones de política urbana
En general, la
distribución espacial de la demanda y la oferta del servicio están altamente
asociadas en el amt,
lo que indica que la respuesta institucional a los cambios en los patrones de
distribución de la población objetivo –los pobres mayores de 65 años y sin
seguridad social– ha sido acertada. Esto se refleja tanto en los índices de
accesibilidad de cada unidad de salud (destacándose por sus valores más altos
las unidades localizadas en el centro de la amt y las que se localizan en las
partes más consolidadas de la ciudad), como en los índices de accesibilidad por
ageb,
que varían de manera lógica de acuerdo con la presencia de la población
objetivo.
De cualquier
manera, siempre es posible identificar áreas de mejora en el diseño e
instrumentación de políticas públicas. En este sentido, mediante el índice de
accesibilidad se logró identificar zonas de baja accesibilidad, localizadas
sobre todo en la periferia del área metropolitana, y clasificarlas según sus
niveles de accesibilidad en zonas ganadoras, intermedias y marginadas. En
conjunto, estas dos últimas categorías concentran a 80% del total de la
población objetivo que debe ser un eje estratégico de la planeación espacial de
los servicios de salud en el área de estudio. Este alto porcentaje, más las
elevadas diferencias entre los recorridos mínimos necesarios por ageb para
llegar a la unidad de salud más próxima, evidencian la existencia de
discriminación espacial. Esta discriminación se acentúa los fines de semana,
cuando cierran 90% de las unidades.
Finalmente, el
análisis de accesibilidad permitió calcular la accesibilidad metropolitana de
la población objetivo a los servicios públicos de salud, lo que posibilitará
hacer comparaciones en el tiempo para evaluar la respuesta institucional a los
cambios en la distribución espacial de la demanda.
Quedan, sin
embargo, varias tareas importantes en la agenda de investigación. Destacan,
como las más urgentes, contrastar los resultados del índice de accesibilidad
con los registros de asistencia de las unidades de salud para probar su
capacidad como indicador de accesibilidad revelada. Otra tarea sería automatizar,
mediante un programa de cómputo, los procedimientos de cálculo del índice de
accesibilidad, la representación gráfica y cartográfica que requiere el
análisis, y la generación de los indicadores de desempeño, calidad y
desigualdad, para reducir los tiempos de investigación y eliminar los retrabajos. Pero quizá la tarea central que se queda en la
agenda, sea aplicar el índice de accesibilidad a varias ciudades (de diversos
tipos y tamaños), con el fin de aprobar la capacidad del índice que se ha
propuesto en este trabajo para apoyar análisis comparativos, o hacer los
ajustes necesarios que permitan realizar análisis interurbanos. Esto, sin duda,
sería un avance relevante en el área de indicadores urbanos en México.
Anexo metodológico
A1. Explicación del
cálculo del índice de accesibilidad
El propósito de
este anexo es presentar en detalle el cálculo del índice de accesibilidad, para
que el lector pueda analizarlo con mayor facilidad, ponerlo a prueba y, si es
de su interés, mejorarlo.
La
fórmula para estimar el índice de accesibilidad para cada unidad de servicio
(es decir, para la oferta) es la siguiente:

Por su parte, la
fórmula para estimar el índice de accesibilidad para cada subzona
de la ciudad (es decir, para la demanda, o sea el grupo de población objetivo
en cada área residencial de la ciudad: en este caso, la población mayor de 65
años sin seguridad social en cada ageb) es la siguiente:

Donde:
Ij = Índice
de accesibilidad para las unidades de servicios de salud.
Ii = Índice
de accesibilidad para el grupo de población objetivo (población mayor de 65
años sin servicios de seguridad social) localizado en cada subzona
de la ciudad (ageb).
Sj = Magnitud
de los servicios disponibles. En este caso se utiliza la productividad por
unidad médica (número de consultas que puede otorgar cada unidad de salud en un
cierto periodo).
Otot = Demanda total en la zona de estudio.
Es el total de la población objetivo (la población mayor de 65 años sin
servicios de seguridad social) de la zona de estudio.
Cij = Costo de
transporte. En este ejercicio se utiliza la distancia lineal entre la unidad de
salud y los centroides de cada subzona
en las que se divide la zona de estudio (en este caso: ageb).
b = Fricción de la distancia (parámetro que se
obtiene por calibración a partir de datos de la conducta espacial de los
usuarios). Existen diversos métodos para estimarlo. Uno de los más sencillos es
calcularlo a partir de la información existente sobre los puntos de origen de
los usuarios del servicio. En este caso, de los pacientes de los consultorios
médicos. Esta información está disponible en las bitácoras que llevan los
médicos de cada consultorio. Lo que se hace es mapear los orígenes de los
pacientes que han acudido a cada unidad de servicio (o a una muestra de
unidades de servicio) en un cierto lapso, digamos cinco o seis semanas en
diferentes meses del año. Luego se trazan cuando menos 10 círculos concéntricos
alrededor de las unidades de servicio consideradas. En este caso se trazaron
círculos concéntricos a cada 100 metros de las unidades de servicio.
Posteriormente se estima la densidad de pacientes en cada “corona”; es decir,
en cada área comprendida entre dos círculos concéntricos consecutivos. Luego se
grafican en un diagrama cartesiano los valores de densidad de cada corona: en
el eje vertical se mide la densidad, y en el eje horizontal, la distancia de la
corona a la unidad de servicio. El comportamiento usual es que los valores de
densidad de usuarios van disminuyendo conforme se incrementa la distancia a las
unidades de servicio. Una vez graficados los puntos de
densidad-distancia,
se estima su recta de regresión y, especialmente, la pendiente de la recta de
regresión. El valor de la pendiente de la recta de regresión es, precisamente,
el parámetro de la fricción de la distancia, que de acuerdo con el comportamiento
espacial usual de la densidad de usuarios (que disminuye conforme aumenta la
distancia a la unidad del servicio), tiene signo negativo.
Con el fin de
ilustrar el funcionamiento del modelo, se supone una zona de estudio dividida
en tres subzonas (A, B, C) donde se localizan dos
unidades de salud (X, Y) (figura A1).
Figura A1
Distribución de
los servicios médicos y la población

La población objetivo en subzona
(Oi) y la población total de la zona de
estudio (Otot) se presenta en el cuadro A1.
Los datos de
productividad; es decir, el número de consultas que puede otorgar cada unidad
de salud (Sj), se presenta en el cuadro A2; y en
el cuadro A3 se presentan los costos de transporte (Cij) entre los centroides
de las subzonas y las unidades de salud.
Cuadro A1
Población de
cada subzona del área de estudio
|
Subzona |
Población |
|
A |
100 |
|
B |
200 |
|
C |
300 |
|
Total |
600 |
Cuadro A2
Productividad de
cada unidad de salud
|
Unidades |
Consultas |
|
X |
100 |
|
Y |
150 |
Cuadro A3
Distancia entre
los centroides de cada subzona
y las unidades de salud
|
X |
Y |
|
|
A |
5 |
4 |
|
B |
5 |
7 |
|
C |
8 |
3 |
El cálculo del
índice de accesibilidad permite conocer la accesibilidad de cada unidad de
salud (Ij si se trata de la
oferta) y la
accesibilidad de cada subzona donde reside la
población objetivo (Ii si se trata de la
demanda). En los
cuadros A4 y A5 se ilustra la manera como se realizan los cálculos. Así, la
columna Sj/Otot
resulta de dividir la oferta de cada una de las clínicas entre la población
total demandante (suma de la población de las tres subzonas),
y es, por tanto, un indicador de disponibilidad a-espacial que resulta igual para todas las subzonas sin importar su localización respecto a la oferta
de los servicios. Pero al incorporar los costos de transporte matizados por la
fricción de la distancia (Cij-b)[36]
emergen las variaciones espaciales de la accesibilidad. Por ejemplo, la unidad
de salud Y
es casi tres veces más accesible que la unidad X, y la subzona
C
disfruta de mucha mayor accesibilidad que las subzonas
A
y B.
Así, el índice de accesibilidad considera que todos los servicios pueden ser
utilizados por cualquiera de los usuarios potenciales sin importar su
localización, lo que elimina la distorsión de frontera tan común en los análisis de
disponibilidad. La distorsión de frontera se refiere al problema de analizar de
manera independiente la disponibilidad de servicios en cada subzona,
lo que conduce a suponer erróneamente que la población de las subzonas que no tienen servicios no tiene acceso a ellos.
En la realidad, los habitantes localizados en las subzonas
que no tienen servicios, acuden a las unidades de servicio localizadas en las subzonas que sí los tienen, porque la idea de subzonas urbanas es una abstracción, un simple recurso
metodológico que en nada impide a la población traspasar las fronteras
imaginarias que dividen a una subzona urbana de otra.
Cuadro A4
Cálculo del
índice de accesibilidad para unidades de salud
|
Sj |
Otot |
Sj /Oi |
Cij-b |
Accesibilidad |
|
|
IAX |
100 |
600 |
0.167 |
55.9 |
0.003 |
|
IBX |
100 |
600 |
0.167 |
55.9 |
0.003 |
|
ICX |
100 |
600 |
0.167 |
181 |
0.001 |
|
Accesibilidad de la unidad X |
0.007 |
||||
|
IAY |
150 |
600 |
0.25 |
32 |
0.008 |
|
IBY |
150 |
600 |
0.25 |
129.6 |
0.002 |
|
ICY |
150 |
600 |
0.25 |
15.6 |
0.016 |
|
Accesibilidad de la unidad Y |
0.026 |
Cuadro A5
Cálculo del
índice de accesibilidad para las subzonas
residenciales y para toda la zona de estudio
|
Subzona residencial A |
IAX |
IAY |
Accesibilidad |
||
|
0.003 |
0.008 |
0.011 |
|||
|
Subzona residencial B |
IBX |
IBY |
|||
|
0.003 |
0.002 |
0.005 |
|||
|
Subzona residencial C |
ICX |
ICY |
|||
|
0.001 |
0.016 |
0.017 |
|||
|
Total de la zona de estudio a los servicios de salud |
0.033 |
||||
A2. Simulación de
escenarios
El índice de
accesibilidad también puede servir para la generación de escenarios para apoyar
las tareas de planeación espacial de los servicios y contestar preguntas del
tipo ¿qué pasaría si...? Por ejemplo, ¿que
pasaría con los
niveles de accesibilidad si se instala una nueva unidad médica en la zona de
estudio (en un determinado sitio)?; o bien, ¿que
pasaría si aumenta o
disminuye la población de una subzona?, o ¿qué
pasaría si se aumenta
o disminuye la oferta de los servicios de salud?, ¿o si cambian todas esas
variables simultáneamente? A continuación se muestra cómo se puede generar un
escenario para anticipar los efectos en la accesibilidad derivados de instalar
una nueva unidad de salud en la zona de estudio.
Construcción de un
escenario
Supóngase que se
construye una nueva unidad de salud Z, en la subzona
B
casi en el límite con las subzonas A y C (figura A2), con una productividad de
300 consultas.
Figura A2
Distribución de
los servicios médicos y la población

Las entradas para el cálculo de los nuevos índices de
accesibilidad se presentan en los cuadros A6, A7 y A8, y los resultados se
muestran en los cuadros A9 y A10.
Al recalcular
los índices de accesibilidad se genera un escenario en el que la nueva unidad
de salud Z
tiene la mayor accesibilidad en el sistema, superando por mucho los niveles de
accesibilidad de la unidad X y, sobre todo, los de la unidad Y (cuadro A9). Esta situación obedece
al mayor volumen de consultas que puede ofertar la unidad Z y a que se ve favorecida por su
localización (la suma de las distancias de los tres orígenes a la unidad Z es de 15, contra 18 de la unidad X y 14 de la Y).
En términos de los impactos en las subzonas, la
construcción de una unidad de salud adicional en la subzona
B eleva significativamente la accesibilidad de esta subzona,
superando por mucho los niveles de accesibilidad de las subzonas
A y C (cuadro A10).
Cuadro A6
Población de
cada subzona del área de estudio
|
Subzona |
Población |
|
A |
100 |
|
B |
200 |
|
C |
300 |
|
Total |
600 |
Cuadro A7
Productividad de
cada unidad de salud
|
Unidades |
Consultas |
|
X |
100 |
|
Y |
150 |
|
Z |
300 |
Cuadro A8
Distancia entre
los centroides de cada subzona
y las unidades de salud
|
X |
Y |
Z |
|
|
A |
5 |
4 |
8 |
|
B |
5 |
7 |
2 |
|
C |
8 |
3 |
5 |
Cuadro A9
Cálculo del
índice de accesibilidad para unidades de salud
|
Sj |
Otot |
Sj /Oi |
Cij-b |
Accesibilidad |
|
|
IAX |
100 |
600 |
0.167 |
55.9 |
0.003 |
|
IBX |
100 |
600 |
0.167 |
55.9 |
0.003 |
|
ICX |
100 |
600 |
0.167 |
181 |
0.001 |
|
Accesibilidad de la unidad X |
0.007 |
||||
|
IAY |
150 |
600 |
0.25 |
32 |
0.008 |
|
IBY |
150 |
600 |
0.25 |
129.6 |
0.002 |
|
ICY |
150 |
600 |
0.25 |
15.6 |
0.016 |
|
Accesibilidad de la unidad Y |
0.026 |
||||
|
IAZ |
300 |
600 |
0.5 |
181 |
0.003 |
|
IBZ |
300 |
600 |
0.5 |
5.7 |
0.088 |
|
ICZ |
300 |
600 |
0.5 |
55.9 |
0.009 |
|
Accesibilidad de la unidad Z |
0.1 |
Cuadro A10
Cálculo del
índice de accesibilidad para las subzonas
residenciales y para toda la zona de estudio
|
Accesibilidad de la zona A |
IAX |
IAY |
IAZ |
Accesibilidad |
|||
|
0.003 |
0.008 |
0.003 |
0.014 |
||||
|
Accesibilidad de la zona B |
IBX |
IBY |
IBZ |
||||
|
0.003 |
0.002 |
0.088 |
0.093 |
||||
|
Accesibilidad de la zona C |
ICX |
ICY |
ICZ |
||||
|
0.001 |
0.016 |
0.009 |
0.026 |
||||
|
Total de la zona de estudio a los servicios de salud |
0.133 |
||||||
Bibliografía
Agyemang-Duah, Kwauku y Frederick L. Hall (1997), “Spatial Transferability
of an Ordered Response Model of Trip Generation”, Transport Research A, 31 (5):
389-402.
Bach, L. (1981), “The Problem of Aggregation and
Distance for Analyses of Accessibility and Access Opportunity in
Location-allocation Models”, Environment and Planning A, 13: 955-978.
Bath, Chandra, Susan Handy, Kara Kockelman
y Hani Mahmassani (2000), Development of an Urban Accesibility
Index: Literature Review, Research Report number 7-4938-1, Center for
Transportation Research, The University of Texas at Austin.
Birkin, Mark, Graham Clarke y Martin P.
Clarke (2002), Retail
Intelligence and Network Planning, John Wiley & Sons, Nueva
York.
Cervero, Robert,
Timothy Rood y Bruce Appleyard (1999), “Tracking
Accessibility: Employment and Housing Oportunities in
the San Francisco Bay Area”, Environment and Planning A, 31: 1259-1278.
Drezner, Zvi y Horst W. Hamacher (2001), Facility Location: Application and Theory,
Springer-Verlag, Nueva York.
Dupuy, Gabriel y Vaclav Stransky (1996), “Cities and Highways Networks in Europe”, Journal of Transport Geography, 4
(2): 107-121.
Fortney, John C., Kathryn Rost,
Mingliang Zhang y John Warren (1999), “The Impact of
Geographic Accessibility on the Intensity and Quality of Depression Treatment”,
Medical Care,
37: 884-893.
Garrocho, Carlos
(1990a), “Servicios de salud y planeación regional en el Estado de México”,
Estudios Territoriales, Madrid,
vol. 33: 55-72.
_____
(1990b), “Localización geográfica de los servicios de salud en un subsistema de
asentamientos rurales: un intento de evaluación”, Estudios
Demográficos y Urbanos, El
Colegio de México, vol. 5: 127-148.
_____
(1993a), “De la casa al hospital: un enfoque espacio-temporal”, Estudios
Sociológicos, El
Colegio de México, xi (32):
547-554.
_____
(1993b), “Análisis de accesibilidad a los servicios de salud y los sistemas de
información geográfica: teoría y aplicación en el contexto del Estado de
México”, Estudios Demográficos y Urbanos, El Colegio de México, vol. 8 (2):
427-444.
_____
(1993c), “Eficiencia, igualdad y equidad en la localización de los servicios de
salud infantil del Estado de México”, Estudios Demográficos y Urbanos, El Colegio de México, vol. 8 (3):
601-640.
_____ (1995),
Análisis socioespacial de
los servicios de salud: accesibilidad, utilización y calidad, El Colegio Mexiquense-dif Estado de
México, México.
_____ (2000),
“Justicia social y servicios públicos: los factores no espaciales que afectan
la utilización de los servicios de salud”, en E. Patiño y J. Castillo, Ciudad,
salud y medio ambiente,
Red Nacional de Investigación Urbana-Universidad Autónoma de Puebla, Puebla,
México.
_____ (2004),
“Localización, localización, localización: el manejo del espacio en la
competencia entre centros comerciales”, Estudios
Demográficos y Urbanos,
El Colegio de México (en prensa).
_____, Tania
Chávez y José Antonio Álvarez (2003), La dimensión espacial de la
competencia comercial,
El Colegio Mexiquense-uaem,
México.
_____ Juan
Campos (2005), “Distribución espacial de la población mayor de 65 años en la
zona metropolitana de Toluca, 1990-2000”, Estudios
Demográficos y Urbanos,
El Colegio de México (enviado).
Ghosh, Avijit y Sara L. McLafferty (1987), Location Strategies for Retail and Services Firms,
Lexington Books, Nueva York.
Goodall, Brian (1987), The Penguin Dictionary of Human Geography,
Penguin Books, Londres.
Goodman, David C., Ellior S.
Fisher, George A. Little, Therese A. Stukel y Chiang-hua Chang (2001), “Are Neonatal Intensive Care Resources
Located According to Need?”, Pediatrics, 108: 426-431.
Guagliardo, Mark F. (2004),
“Spatial Accessibility of Primary Care: Concepts, Methods and Challenges”, International Journal of Health Geographics,
3: 3-26 (http://www.ij-healthgeographics.com/content/3/1/3).
Gulliford, Martin C.
(2002), “Availability of Primary Care Doctors and Population Health in England:
Is there an Association?”, Journal
of Public Health and Medicine, 24: 252-264.
Guy, Cliff M. (1983), “The Assessment of Access to
Local Shopping Opportunities: A Comparison of Accessibility Measures”, Environment and Planning B: Planning and Design,
10: 219-238.
Hägerstrand, Torsten (1970), “What about People in Regional Science”, Papers of the Regional Science Association,
14: 7-21.
Handy, Susan L. (1993), “Regional versus Local
Accessibility: Neo-traditional Development and its Implications for Non-work
Travel”, Built
Environment, 18 (4): 253-267.
_____ y Debbie A. Neimeier (1997), “Measuring Accessibility: An Exploration
of Issuess and Alternatives”, Environment and Planning A, 29:
1175-1194.
Hardcastle, David e Ian Cleeve (1995), Accessibility Modelling using gis, Geographic Information Systems, ptrc European
Transportation Forum, University of Warwic, Inglaterra.
Harner, John, Kee
Warner, John Pierce y Tom Huber (2002), “Urban Environmental Justice Indices”, The Professional Geographer,
54 (3): 318-381.
Hillman, Richard y Graham Pool (1997), “gis-based
Innovations for Modelling Public Transportation Accessibility”, Traffic Engineering and Control,
30 (10): 554-559.
Ikhrata, Hasan M. y
Paul Michell (1997), “Technical Report of Southern
California Association of Governments Transportation Performance Indicators”, Transportation Research Record 1606:
103-114.
Ingram, David R. (1971), “The Concept of
Accessibility: A Search for an Operational Form”, Regional Studies, 5: 101-107.
Johnston, Ronald J., Derek Gregory y David. M. Smith
(2000), The
Dictionary of Human Geography, Blackwell, Oxford, Inglaterra.
Joseph, Alun E. y David R.
Phillips (1984), Accessibility
and Utilization: Geographical Perspectives on Health Care Delivery,
Harper and Row, Londres.
Kingsley, G. Thomas (1998), Neighborhood Indicators: Taking Advantage of the New
Potential, National Neighborhood Indicators Partnership, The
Urban Institute, Estados Unidos.
Knox, Paul L. (1978), “The Intraurban
Ecology of Primary Medical Care: Patterns of Accessibility and their Policy
Implications”, Environment
and Planning A, 10: 415-435.
Koening, J. G.
(1980), “Indicators of Urban Accessibility: Theory and Application”, Transportation, 9: 145-172.
Kwan, Mei-Po (1998), “Space-time and Integral Measures
of Individual Accessibility: A Comparative Analysis using a Point-based
Framework”, Geographical
Analysis, 30 (3): 191-216.
Lee, Ming S. y Michael G. McNally (1998), Application of Space-time Prisms for the Measure of
Accessibility, Institute of Transportation Studies, University of
California, Irvine, Report Number UCI-ITS-AS-WP-98-2.
Luo, Wei (2004), “Using a gis-based Floating Catchment
Method to Assess Areas with Shortage of Physicians”, Health and Place, 10: 1-11.
_____ y Fahui Wang (2003), “Measures of Spatial Accessibility to
Health Care in a gis
Environment: Synthesis and a Case Study in Chicago Region”, Environment and Planning B, 30 (6):
865-884.
Martínez, Francisco J.
(1995), “Access: The Transport-land Use Economic Link”, Transportation Research B, 29 (6):
457-470.
Meden, Terry, Celeste St. John-Larkin, Deborah Hermes
y Stephen Sommerschield (2002), “Relationship between
Travel Time Distance and Utilization of Breast Cancer Treatment in Rural
Northern Michigan”, Journal
of the American Medical Association, 287 (1):
111.
Miller, Harvey J. (1999), “Measuring Space-time
Accessibility Benefits within Transportation Networks: Basic Theory and
Computational Procedures”, Geographical
Analysis, 31 (2): 187-212.
Morris, J. M., P. L. Dumble
y M. R. Wigan (1979), “Accessibility Indicators for
Transport Planning”, Transport
Research A, 13A: 91-109.
Niemeier, Debbie A.
(1997), “Accessibility: An Evaluation using Consumer Welfare”, Transportation, 24: 377-396.
Partida,
Virgilio (2001), “Monto y estructura de la población en el año 2000 y
perspectivas en el 2050”, Demos Carta Demográfica sobre
México 2001,
Instituto de Investigaciones Sociales, unam, México.
Phillips, David R. (1990), Health and Health Care in the Third World,
Longman, Hong Kong.
Pooler, James A. (1995), “The Use of Spatial
Separation in the Measurement of Transport Accessibility”, Transport Research A, 29A (6):
421-427.
Rosenberg, Mark y John Everitt
(2001), “Planning for Aging Populations: Inside or Outside the Walls”, Progress in Planning, octubre, 56: 119-168
Scarpaci, Joseph
(1989), Primary
Medical Care in Chile: Accessibility under Military Rule,
University of Pittsburgh Press, Pittsburgh.
Sedesol (Secretaría de Desarrollo Social)
(2005), Reglas de Operación del Programa de Desarrollo Humano
Oportunidades,
Coordinación Nacional de Oportunidades, México.
Song, Shunfeng (1996), “Some
Tests of Alternative Accessibility Measures: A Population Density Approach”, Land Economics, 72 (4):
474-482.
Sweet, R.J. (1997), “An Aggregate Measure of Travel
Utility”, Transportation
Research B, 31 (5): 403-416.
tdm
(2003), tdm
Encyclopedia,
www.vtpi.org, Victoria Transport Policy
Institute, Victoria, Canadá.
Tuirán, Rodolfo (1999), “Desafíos del envejecimiento
demográfico en México”, en Envejecimiento demográfico en
México: retos y perspectivas, Consejo
Nacional de Población, México.
un-Habitat
(2005a), 1000
Cities Programme,
http://www.unhabitat. org/programmes/guo/muip.asp.
_____ (2005b), Financing Urban Shelter: Global Report on Human
Settlements, 2005, Ginebra, Suiza.
Verroen, Erik J. y
Hans D. Hilbers (1996), Urban Planning and Mobility, Some Dutch Experiences, tno Institute
for Transportation, Holanda.
Voges, E. M. y A. H. Naudé (1983), Accessibility in Urban Areas: An Overview of Different Indicators,
Technical Report RT/21/83, National Institute of Transport and Road Research, csir, Sudáfrica.
Wang, Donggen y Harry Timmermans (1996), Activity-based Measures of Accessibility of
Transportation Policy Analysis, Transportation Planning Methods, ptrc European Tansport Forum, Brunel University, Inglaterra.
Weibull, Jörgen W. (1976), “An Axiomatic Approach to the Measurement
of Accessibility”, Regional
Science and Urban Economics, 6: 357-379.
Whitelegg, John (1982),
Inequalities in Health Care:
Problems of Access and Provision, Straw Barnes Press, Retford, Inglaterra.
Wilson, Alan G. (1971), “A Family of Spatial
Interaction Model, and Associated Developments”, Environment and Planning, 3: 1-32.
Zhang, Ming, Qing Shen y Joseph Sussman
(1998), “Job Accessibility in the San Juan Metropolitan Region”, Transportation Research Record 1618: 22-31.
Recibido: 26 de julio de 2005.
Reenviado: 9 de enero de 2006.
Reenviado: 6 de abril de 2006.
Aceptado: 20 de abril de 2006.
Carlos Garrocho.
Maestro en desarrollo urbano (El Colegio de México, 1997) y doctor en geografía
social (Universidad de Exeter, Inglaterra, 1992). Profesor-investigador de El
Colegio Mexiquense, a.c.
desde 1986 y miembro del Sistema Nacional de Investigadores desde 1987. Autor
de varios libros y diversos artículos sobre geografía urbana, accesibilidad y
localización a servicios públicos y privados. Recientemente participó en la
evaluación nacional del Programa de Desarrollo Humano Oportunidades, y está
terminando, en colaboración, el Observatorio de la Zona Metropolitana de
Toluca. Actualmente, su trabajo de investigación se centra en la geografía
urbana de la zona metropolitana de Toluca.
Juan
Campos Alanís. Maestro
en estudios regionales (Instituto Mora, 2001), y actualmente cursa los estudios
de doctorado en geografía en la Universidad Nacional Autónoma de México.
Profesor de tiempo completo definitivo de la Facultad de Geografía de la
Universidad Autónoma del Estado de México. Autor de artículos sobre la política
de combate a la pobreza y envejecimiento demográfico. Actualmente, su temática
de investigación se orienta al análisis de la marginación social y estudios
sobre la pobreza urbana y regional.
[1] Uno
de los cuales es Metrosum (Observatorio Metropolitano
de Toluca), cuya construcción está a cargo de un grupo de investigadores de El
Colegio Mexiquense y de la Universidad Autónoma del Estado de México.
[2] Esto
es evidente si se revisan las Reglas de Operación 2005 del
Programa de Desarrollo Humano Oportunidades (Sedesol,
2005), que es el programa de desarrollo social más importante del gobierno
federal desde el año 2000.
[3] Los
costos de transporte se pueden estimar en unidades diversas, dependiendo de la
información disponible: unidades monetarias, de energía, de distancia…; o en
unidades subjetivas: percepción de costos, de incomodidades, de riesgos…; o
incluso mediante una mezcla de unidades objetivas y subjetivas. En este trabajo
se utilizan unidades de distancia.
[4] Aunque
también se podría aplicar a servicios privados.
[5] La accesibilidad a
servicios básicos es un indicador de calidad urbana, que en este trabajo se
estima a escala de áreas geoestadísticas básicas (ageb). Esto se
complementa con la estimación de la accesibilidad de
las unidades de servicio, a la que consideramos un indicador de desempeño
urbano. Por tanto, en este trabajo la calidad urbana
está relacionada con la población (con la demanda),
mientras que el desempeño
urbano está asociado con las unidades de servicio
(con la
oferta y, por lo tanto, con el desempeño de los
administradores urbanos). Los resultados de este trabajo permitirán identificar
en el amt
zonas y unidades de servicio con baja accesibilidad y explorar alternativas
para elevar la accesibilidad y reducir las desigualdades, lo que tal vez ayude
a los administradores urbanos a dar prioridad a determinados proyectos y a
diseñar políticas públicas más eficaces y equitativas.
[6] El
cual ya ha sido ampliamente discutido en otro lado para el caso del valle de Toluca
(Garrocho, 1990ª, 1990b y 1995).
[7] En el
caso de los servicios de salud, para los cuales se probará el índice de
accesibilidad que se propone más adelante, se han identificado algunos factores
importantes que afectan la accesibilidad social (y por lo tanto la utilización
suficiente y oportuna) de clínicas y hospitales. Factores asociados con las
unidades de salud son, por ejemplo, el horario de trabajo, la calidad de los
servicios, los métodos de atención, el género del personal, las prácticas
médicas y el costo de la atención y los medicamentos; y por el lado de los
usuarios destacan, entre otros, su clase social, ingreso, educación, valores
culturales, edad, género, percepciones, expectativas y creencias (Garrocho,
1995).
[8] Es
decir, la sensibilidad de la demanda ante cambios en los costos de transporte.
[9] Algunos
ejemplos de aplicación de este indicador se pueden encontrar en las obras de Ikharta y Michell (1997) y Handy
(1993).
[10] Nótese
que los indicadores de oportunidades acumulativas son un caso especial de
indicador de interacción espacial: cuando el parámetro de la fricción de la
distancia es igual a cero (Bhat et al.,
2000).
[11] Se
puede ver una amplia revisión de estos aspectos en Garrocho y Campos (2005), y
Garrocho, Chávez y Álvarez (2003).
[12] Algunos
ejemplos son: Zhang et
al. (1998), Cervero et al.
(1999); Bath et
al. (2000), y Agyemang-Duah
y Hall (1997). Aunque no se deberían de subestimar, sólo por su año de
publicación, referencias clásicas tan esclarecedoras como Ingram
(1971) o, muy especialmente, Knox (1978), entre otras.
[13] En
este sentido, el amt
es afortunada, porque dispone de diversas estimaciones de parámetros de la
fricción de la distancia para servicios diversos: desde servicios de consumo
cotidiano (tortillerías, panaderías..) hasta bibliotecas públicas, unidades de
salud (incluyendo hospitales de especialidades), supermercados e hipermercados
(Garrocho, Chávez y Álvarez, 2003).
[14] Estos
indicadores se reportan en la literatura anglosajona como utility measures
of accessibility.
[15] Entre
otras aplicaciones de este tipo de indicador, destacan la de Niemeier (1997), Sweet (1997) y
Martínez (1995).
[16] La
referencia obligada, clásica y no superada, es Hägerstrand
(1970). Siempre vale la pena mencionar el título de su brillante artículo: “What about People
in Regional Science?”.
[17] Un
ejemplo de análisis de este tipo para la región del valle de Toluca es el de
Garrocho (1993a).
[18] Adicionalmente
a todas estas consideraciones de orden conceptual, también existen dos
importantes razones de tipo práctico: la información disponible en el amt y la
experiencia acumulada del equipo de investigación en este tipo de indicadores
(Garrocho, 2004).
[19] Desde
Knox (1978), hasta los desarrollos más recientes de Luo
y Wang (2003), Luo (2004) y Guagliardo
(2004).
[20] Llamado
de la fricción de los costos de transporte o, más generalmente, de la fricción de la distancia.
[21] Véanse
detalles y ejemplos de aplicación en el Anexo.
[22] Por
ejemplo, si se abren o cierran unidades de servicio, o si se amplía o reduce su
capacidad de atención, o si suben o bajan las tasas de crecimiento de la
población objetivo, o si aumenta o se reduce la población en áreas específicas
de la ciudad.
[23] Y,
por lo tanto, el índice es sensible a los cambios de localización de las
unidades de servicio y del patrón espacial de la demanda, lo cual es
particularmente importante si se analizan ciertos grupos de población (Garrocho
y Campos, 2005). Cabe recordar que los costos de transporte se pueden estimar
en unidades diversas, aunque en este trabajo se utilizaron solamente unidades
de distancia.
[24] Éste
es un componente conductual que se estima a partir de los registros de
utilización del servicio (Rosenberg y Everitt, 2001).
[25] En Garrocho (1995) se presenta una
discusión conceptual muy amplia de todos estos aspectos, así como sobre su
influencia en el amt.
[26] Lo
que Joseph y Phillips (1984) llaman accesibilidad revelada.
[27] Con
el fin de ahorrar espacio y ganar claridad, en el Anexo se presenta un ejemplo
detallado de aplicación del índice de accesbilidad. Vale
más un ejemplo que mil palabras.
[28] Aunque
existen propuestas interesantes aplicadas al sistema de transporte, como la de Sweet, 1997.
[29] Uno
de esos grupos son los mayores de 65 años, que en el país y en la ciudad
constituyen el grupo de más acelerado crecimiento demográfico (Tuirán, 1999; Partida, 2001), y cuyo patrón de localización
en el espacio metropolitano de Toluca tiene características muy particulares
(Garrocho y Campos, 2005). Junto con los niños y las mujeres embarazadas, los
mayores de 65 años son un grupo estratégico de atención para los sistemas de
salud. Vulnerables y casi en permanente necesidad de atención preventiva o
curativa, los mayores de 65 años –por sus limitaciones físicas– son altamente
dependientes de los demás para acceder oportunamente a los servicios médicos.
Su falta de movilidad (en ocasiones su discapacidad), más la falta de tiempo de
los que los pueden llevar a recibir atención y el esfuerzo y el costo que
implica llevar –y traer– a personas mayores para que reciban servicios médicos,
explican que con frecuencia los ancianos registren tiempos más largos entre la
manifestación de los síntomas de enfermedad y la recepción de atención médica,
con lo que sus padecimientos pueden agravarse y hacerse más difíciles de
solucionar (Garrocho, 1995). Existe abundante evidencia de que la accesibilidad
a los servicios afecta seriamente la calidad y oportunidad de su utilización,
lo que influye en los niveles de bienestar de la población (Scarpaci,
1989; Phillips, 1990; Garrocho, 1995).
[30] El
método de estimación de los parámetros de la fricción de la distancia es algo
laborioso pero se presenta un resumen el Anexo. Mayores detalles se pueden ver
en Garrocho (1995) y Garrocho et al. (2003).
[31] Aunque
disponemos de datos y modelos de transporte para el amt que permitirían estimar los
tiempos de transporte entre los orígenes y las unidades de salud, usar esa
información dificultaría hacer comparaciones intermetropolitanas,
ya que son pocas ciudades las que tienen información de este tipo para usarla
en sus observatorios urbanos. Uno de los mejores ejemplos de indicadores de
costos de transporte a unidades de salud lo presenta Whitelegg
en su libro clásico de 1982.
[32]Como
se reporta en el análisis de geografía urbana que hacen Garrocho y Campos (2005).
[33] Aunque
existen ejemplos muy interesantes y exitosos de análisis a partir de radios
normativos, como el de Harner et al. (2002).
[34] Esta
clasificación es mucho más útil que la de zonas servidas
y zonas
no servidas que se obtiene cuando se utilizan radios
normativos de cobertura de servicios.
[35] Por
supuesto que existen métodos muy sofisticados para decidir la localización de
nuevas unidades de servicio (se pueden ver ejemplos de aplicación para la zmt en
Garrocho [1995] y Garrocho et
al. [2003]). Sin embargo, el propósito de esta
sección es ilustrar cómo una herramienta tan sencilla, como el índice de
accesibilidad que se propone en este trabajo, puede ayudar a explorar de manera
rápida las implicaciones de localizar nuevas unidades de servicio en la ciudad
o ampliar las existentes.
[36] La
fricción de la distancia (-b) para el caso de este anexo es igual a 2.5.